ĐÁNH GIÁ SỰ PHÁT TÁN CỦA NGUỒN GIỐNG THEO MÙA TỪ CÁC VÙNG BIỂN SINH SẢN PHÍA ĐÔNG NAM VIỆT NAM
Viện Tài nguyên và Môi trường biển, Viện Hàn lâm KH&CN Việt Nam
Số 246 Đà Nẵng, Hải Phòng
Số điện thoại: 0912228845; Email: tuta@imer.vast.vn
Nội dung chính của bài viết
Tóm tắt (Abstract)
SEASONAL PATTERNS OF SEED DISPERSAL IN SOUTHEAST VIETNAM SEA
A comparative analysis of flow velocity and seed dispersal patterns in the Southeast Vietnam Sea revealed significant seasonal variations. During the southwest monsoon, flow velocities were substantially higher than those observed during the northeast monsoon. Notably, areas with flow velocities ranging from 0.6 to 1.0 m/s constituted approximately one-third of the simulated region. To gain deeper insights into seed source dispersal dynamics, we employed Delft3D modeling software to simulate continuous seed reproduction over seven-day periods during both the northeast (November-December) and southwest (July-August) monsoons. Our findings underscore the profound influence of wind season and reproductive cycles on seed dispersal patterns. In both seasons, seeds were predominantly dispersed southward and southwestward. However, the density and dispersal range of seeds in the surface layer were generally lower than those in the middle and bottom layers. Over time, the dispersal trend stabilized after approximately 24 days. Importantly, the dispersal range of seeds during both monsoons could extend several hundred kilometers from their original location.
Từ khóa (Keywords)
Fish seeds, individual, current, southwest monsoon season, northeast monsoon season, nguồn giống, cá thể, dòng chảy, mùa gió tây nam, mùa gió đông bắc.
Chi tiết bài viết
1. ĐẶT VẤN ĐỀ
Sự phát tán nguồn giống trong biển và đại dương rất phức tạp. Dòng chảy sẽ là yếu tố quyết định đến quá trình phát tán nguồn giống, khi nguồn giống ở giai đoạn trứng và tiền cá con vẫn thụ động trong nước [1]. Các vận chuyển ngang qua thềm lục địa có thể được xem là cách thức tồn tại của nhiều loài cá biển khi chúng đẻ trứng ngoài khơi nhưng môi trường sống trong giai đoạn phát triển là gần bờ [2].
Trên thềm lục địa California, gió gây ra nước trồi nên việc vận chuyển của ấu trùng trên tầng mặt theo hướng ra khơi [3, 4]. Sự dịch chuyển ngang qua thềm theo sự xâm nhập này là 3-5 km/ngày, trong khi đó sự dịch chuyển dọc theo thềm lục địa là 5-15 km/ngày [5]. Các mô hình số trị hoàn lưu ba chiều cung cấp một cách tiếp cận hữu hiệu để nghiên cứu vận chuyển ấu trùng. Các mô hình có thể được sử dụng để nghiên cứu vận chuyển ấu trùng quy mô lớn (> 104 km) ở Bắc Đại Tây Dương [6] và Biển Bắc [7], cũng như vận chuyển ấu trùng quy mô vừa (103 - 104 km) ở German Bight, trên Georges Bank [2], và vịnh Alaska [8]. Các liên kết giữa mô hình hóa vận chuyển ấu trùng và sự thay đổi thêm vào giữa các năm khảo sát có được đối với các lươn cát trong Biển Bắc và cá Minh Thái trong vịnh Alaska [9]. Các nghiên cứu này đã cung cấp những hiểu biết và làm sáng tỏ quá trình vận chuyển ấu trùng trong các hệ thống đặc trưng.
Trong nước đã có một số công trình nghiên cứu theo hướng mô hình hoá phát tán nguồn giống trong môi trường nước. Mô hình dự báo quá trình phát tán nguồn giống được thiết lập và thử nghiệm cho vùng Nam Trung Bộ, vịnh Phan Thiết [10, 11]. Gần đây, nhóm nghiên cứu của Viện Tài nguyên và Môi trường biển đã sử dụng phần mềm Delft3d (Module Delft3d-Part) để tính toán quá trình phát tán nguồn giống rạn san hô tại vùng biển Hải Vân - Sơn Chà [12]. [13] đã sử dụng mô hình thuỷ động lực trên cơ sở nguồn dữ liệu mực nước và dòng chảy để mô phỏng quá trình phân bố và di chuyển nguồn giống của họ cá bống Gobiidae trong và xung quanh Đầm Nại, Ninh Thuận thuộc đề tài cấp Nhà nước KC08.25/11-15. Kết quả cho thấy phân bố và biến động theo không gian của nguồn giống ở khu vực Đầm Nại phụ thuộc vào dao động mực nước thủy triều, trong đó phạm vi phân bố và phát tán luôn giới hạn không vượt ra ngoài cửa đầm. Trên cơ sở thực nghiệm mô hình vận chuyển tại vị trí thả ban đầu ở phía Bắc Bình Thuận, nguồn giống được dòng chảy vận chuyển và đưa lên phía Bắc đến các đảo và vũng vịnh ven bờ Ninh Thuận và Khánh Hòa [14]. Kết quả mô phỏng hướng dịch chuyển của nguồn giống bằng sử dụng mô hình MIKE 21 cho thấy trong mùa xuân nguồn giống có xu hướng dịch chuyển vào gần bờ và khả năng dịch chuyển lan rộng ra xung quanh tương đối nhanh với khoảng cách vận chuyển 40 km sau 3 ngày tính từ tâm phát tán. Sang mùa hạ, vẫn với khả năng đó, nhưng nguồn giống lại có xu hướng ra xa bờ hơn và hướng đến gần khu vực biển Bạch Long Vỹ với khoảng cách di chuyển được khoảng 20 km/3 ngày. Tuy nhiên, đến mùa thu và mùa đông khả năng di chuyển của nguồn giống lại có xu hướng ven bờ với tốc độ di chuyển khoảng 15-20 km/3 ngày [15].
Để làm rõ bức tranh về quá trình phát tán nguồn giống vùng biển phía Đông Nam Việt Nam, công trình này đã sử dụng phần mềm Delft3 (Module Delft3d-Part) để mô phỏng.
2. SỐ LIỆU VÀ PHƯƠNG PHÁP NGHIÊN CỨU
2.1. Số liệu
Các tài liệu chính được sử dụng để thực hiện nghiên cứu này bao gồm:
- Các tài liệu về địa hình: Độ sâu và địa hình của khu vực phía ngoài và lân cận được sử dụng cơ sở dữ liệu GEBCO -1/8 (General Bathymetric Chart of the Ocean (GEBCO) của Trung tâm tư liệu Hải dương học vương quốc Anh (British Oceanographic Data Centre-BODC) và tham khảo thêm cơ sở dữ liệu địa hình ETOPO5 (Earth Topography - 5 Minute) của Trung tâm Tư liệu Địa vật lí Quốc gia Mỹ NGDC (National Geophysical Data Center). Số liệu độ sâu và đường bờ của vùng biển ven bờ khu vực nghiên cứu được số hóa từ các bản đồ địa hình UTM hệ tọa độ địa lý VN 2000 tỷ lệ 1: 50.000 và 1: 25.000 do Cục Đo đạc, Bản đồ và Thông tin địa lý Việt Nam (Bộ Tài nguyên và Môi trường) xuất bản.
- Thuỷ triều vùng ven biển khu vực nghiên cứu: số liệu mực nước dùng để hiệu chỉnh, kiểm chứng kết quả tính của mô hình thủy động lực trong nghiên cứu này là các giá trị đo đạc mực nước tại trạm hải văn Sơn Trà, Vũng Tàu với tần suất 1h/lần.
Số liệu thuỷ triều tại các biên mở phía biển là những hằng số điều hoà thuỷ triều. Các hằng số điều hòa thủy triều ở phía ngoài xa bờ để thiết lập biên mở phía biển của mô hình thủy động lực là các số liệu đã được phân tích thành các hằng số điều hòa thủy triều của 13 sóng triều bao gồm: M2, S2, N2, K2, K1, O1, P1, Q1, MF, MM, M4, MS4, MN4 với độ phân giải 0,25ox 0,25o từ cơ sở dữ liệu TPXO-8.
- Số liệu gió: số liệu khí tượng như gió, áp suất khí quyển, nhiệt độ không khí, bức xạ mặt trời, độ che phủ của mây trong năm 2023 cũng được thu thập từ Trung tâm Dự báo Môi trường Quốc gia Hoa Kỳ (NCEP) với độ phân giải 0,2ox0,2o.
- Số liệu nhiệt, muối: ở khu vực nghiên cứu được thu thập từ Cơ quan Giám sát Khí hậu Copernicus: Phân tích và dự báo Vật lý hải dương toàn cầu năm 2023. Những dữ liệu này là sự kết hợp của mô hình số, quan trắc và dữ liệu hình ảnh vệ tinh, được hiển thị trên lưới thông thường, tiêu chuẩn ở 1/12° [16].
- Số liệu vị trí phát tán và mật độ nguồn giống đo đạc ở vùng ven biển: các tài liệu liên quan đến vị trí có nguồn giống cũng như mật độ nguồn giống ở vùng biển ven bờ từ Khánh Hòa đến Bình Thuận vào mùa sinh sản của sinh vật biển.
2.2. Phương pháp nghiên cứu
Phương pháp chính để thực hiện việc mô phỏng quá trình phát tán nguồn giống là sử dụng các mô hình toán học. Trong công trình này đã sử dụng kết hợp 2 loại mô hình toán học: mô hình thủy động lực và mô hình mô phỏng sự di chuyển ngẫu nhiên dạng vết trong bộ mô hình Delft3D do Viện Thủy lực Delft của Hà Lan nghiên cứu phát triển.
- Mô hình thủy động lực được thiết lập theo các kịch bản khác nhau để mô phỏng điều kiện thủy động lực của khu vực nghiên cứu.
- Trên cơ sở các kết quả của mô hình thủy động lực, các kịch bản khác nhau cũng đã được thiết lập cho mô hình lan truyền ấu trùng cá nằm trong module Delft3d-Part là một mô hình 3 chiều có thể tính toán, mô phỏng động lực phân bố hàm lượng vật chất nói chung theo không gian và thời gian từ các nguồn phát tán [17].
Delft3D- Part là mô hình mô phỏng sự di chuyển ngẫu nhiên dạng vết dựa trên sự di chuyển của các phần tử vật chất hòa tan (hoặc không tan) trong môi trường nước dưới những ảnh hưởng do các quá bình lưu (dòng chảy). Sự di chuyển của các phần tử đầu tiên do hai yếu tố: ứng suất trượt của dòng chảy (đáy) và gió (trên mặt). Sau đó, các phần tử này di chuyển bởi các quá trình ngẫu nhiên liên quan đến lan truyền- khuếch tán bình lưu và thẳng đứng [18, 19]. Hệ số phát tán là thông số đầu vào của mô hình cho các quá trình lan truyền ngẫu nhiên. Theo các thành phần bình lưu và đối lưu, các hệ số phát tán được đưa vào mô hình theo từng giai đoạn khác nhau [20].
2.2.1. Chuyển đổi các kết quả mô hình thủy động cho mô hình phát tán nguồn giống
Phạm vi miền tính bao phủ toàn bộ vùng biển ven bờ Việt Nam, vịnh Thái Lan, vịnh Bắc Bộ, và vùng nước phía tây quần đảo Philipine. Miền tính của mô hình có kích thước theo phương đông - tây khoảng 2.485 km, và theo phương bắc - nam khoảng 2.689 km. Toàn bộ miền tính của mô hình được chia theo các phương (x,y) lần lượt là 938 x 404 điểm tính. Các ô lưới có kích thước biến đổi trong khoảng khá rộng: từ 652 đến 13.558 m (Hình 1).
Mô hình này cũng sử dụng các kết quả tính toán của mô hình thủy động lực. Đó là các kết quả:
- Phạm vi miền tính, lưới tính, độ sâu của thủy vực.
- Kết quả tính dao động mực nước, biến đổi độ sâu theo thủy triều của cột nước khu vực tính toán.
- Kết quả tính biến động theo thời gian của trường dòng chảy theo các lớp độ sâu.
- Kết quả tính phân bố và biến động theo không gian và thời gian của các trường nhiệt độ - độ muối.
- Các kết quả tính toán mô phỏng biến động của các trường dòng chảy theo không gian và thời gian.

a) b)
Hình 1. Phạm vi miền tính của mô hình: a)-lưới tính, b)-độ sâu
2.2.2. Thiết lập các kịch bản tính toán mô phỏng phát tán nguồn giống
- Thời gian tính toán mô phỏng trong hai mùa của năm 2023: mùa gió đông bắc (tháng 11-12) và mùa gió tây nam (tháng 7-8). Mỗi mùa gió sẽ được thiết lập kịch bản với thời gian sinh sản liên tục trong 7 ngày.
- Vị trí phát tán nguồn giống dọc vùng ven biển nghiên cứu được thể hiện trong Bảng 1.
Bảng 1. Toạ độ các vị trí thu mẫu nguồn giống

2.2.3. Hiệu chỉnh mô hình thủy động lực
Để đánh giá mức độ tin cậy trong các tính toán, trong nghiên cứu này đã sử dụng công thức sau:
![]()
Giá trị E tiến tới 1 thì các kết quả dự báo có hiệu quả tốt nhất, ngược lại khi E tiến tới 0 thì các dự báo không đáng tin cậy. Khi E mang dấu âm (-), các đặc trưng trung bình tính từ chuỗi quan trắc cho kết quả dự báo tốt hơn từ mô hình.

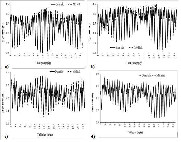
Hình 2. So sánh mực nước tính toán từ mô hình và quan trắc: a) Vũng Tàu, 7/2022, b) Vũng Tàu, 12/2022, c) Sơn Chà, 7/2022, d) Sơn Chà, 12/2022
Số liệu mực nước dùng để hiệu chỉnh, kiểm chứng kết quả tính của mô hình trong nghiên cứu này là các giá trị đo đạc mực nước tại trạm hải văn Sơn Chà và Vũng Tàu với tần suất 1 h/lần vào tháng 7 và tháng 12 năm 2022. Sau các lần hiệu chỉnh, kết quả so sánh phân tích giữa số liệu quan trắc và mô hình, đối với mực nước cho thấy đã có sự phù hợp cả về pha và biên độ giữa số liệu quan trắc và tính toán (Hình 2), với hệ số hiệu quả tính toán (E) dao động 0,87-0,93.
3. KẾT QUẢ VÀ THẢO LUẬN
3.1. Kết quả mô phỏng trường dòng chảy khu vực nghiên cứu
Kết quả mô phỏng trường dòng chảy khu vực nghiên cứu trong hai mùa gió tây nam và đông bắc cho thấy: trong mùa gió tây nam có sự xáo trộn gây ra các xoáy có cường độ mạnh hơn nhiều so với mùa gió đông bắc. Vận tốc dòng chảy khu vực ven bờ biến đổi trong khoảng giá trị 0,1-0,6 m/s và hướng dòng chảy từ nam lên bắc. Phạm vi khu vực có tốc độ dòng chảy biến đổi trong khoảng giá trị 0,6-1,0 m/s có quy mô lớn, chiếm khoảng 1/3 diện tích khu vực mô phỏng. Trong mùa gió đông bắc: vận tốc dòng chảy chủ yếu biến đổi trong khoảng giá trị 0,1-0,6 m/s; hiếm nơi đạt giá trị 0,8-1,0 m/s.
3.2. Quá trình phát tán nguồn giống trong mùa gió tây nam
Kết quả mô phỏng sự phát tán nguồn giống dưới ảnh hưởng của gió mùa tây nam (tháng 7-8) ở tầng mặt (Hình 3) với thời gian sinh sản liên tục trong vòng 7 ngày đã cho thấy sự di chuyển nhanh chóng của nguồn giống ở khu vực. Nguồn giống có xu hướng lan rộng về phía nam và tây nam, theo hướng dòng chảy. Ngày đầu tiên của chu kì sinh sản, nguồn giống tập trung cục bộ ở từng khu vực sinh sản với mật độ chủ yếu từ 2-12 cá thể/m3 (Hình 3a). Chỉ sau khoảng 8 ngày, nguồn giống di chuyển chủ yếu theo hướng nam và tây nam (Hình 3b), cách vị trí ban đầu có thể lên đến 100 km, với mật độ từ 1 đến 6 cá thể/m3, có nơi lên đến 12 cá thể/m3. Nguồn giống vào thời điểm này cũng di chuyển dọc theo bờ biển lên phía bắc một chút, cách vị trí ban đầu khoảng 50 km. Từ sau 16 ngày, phía bắc khu vực nghiên cứu nguồn giống ít biến động hơn so với phía nam. Mật độ nguồn giống và diện tích phát tán tăng dần, toàn bộ vùng biển phía nam và ven biển từ Quảng Ngãi trở xuống đến Vũng Tàu đều có sự hiện diện của nguồn giống. Càng ra ngoài khơi, mật độ nguồn giống giảm dần. Từ sau 40 ngày, mật độ cá thể được phát tán rộng ra đã tăng đáng kể. Cách 300 km so với vị trí ban đầu vẫn nhận thấy mật độ 12 cá thể/m3 (Hình 3).
Đối với tầng giữa (Hình 3c, Hình 3d), xu hướng phân bố của nguồn giống tương tự như tầng mặt nhưng với mật độ thấp hơn và phạm vi rộng hơn. Ngày đầu của chu kì sinh sản, nguồn giống vẫn tập trung cục bộ ở từng khu vực sinh sản với mật độ chủ yếu từ 1-7 cá thể/m3. Sau 8 ngày, nguồn giống lan rộng ra xung quanh, theo hướng nam và tây nam, cách vị trí ban đầu lên đến 200 km, với mật độ từ 1 đến 7 cá thể/m3. Tại một số khu vực sinh sản, mật độ lên đến 12 cá thể/m3. Nguồn giống vào thời điểm này cũng di chuyển dọc theo bờ biển lên phía bắc (khoảng 15%), cách vị trí ban đầu khoảng 50 km. Từ sau 24 ngày, nguồn giống phát tán, mở rộng, và ổn định dần chủ yếu xuống phía nam và đông nam của khu vực nghiên cứu. Từ sau ngày 40, nguồn giống phát tán lên phía bắc và ổn định mật độ từ 1 đến 6 cá thể/m3. Mật độ nguồn giống và diện tích phát tán tăng dần, ảnh hưởng đến toàn bộ vùng biển phía nam và ven biển từ Quảng Ngãi trở xuống đến Vũng Tàu. Càng ra ngoài khơi, mật độ nguồn giống càng giảm, cách 300 km so với vị trí ban đầu vẫn nhận thấy mật độ 12 cá thể/m3.
![]() |
![]() |
Hình 3. Quá trình phát tán nguồn giống khu vực nghiên cứu (cá thể/m3) dưới ảnh hưởng của gió tây nam: tầng mặt (a-sau 1 ngày; b-sau 8 ngày); tầng giữa (c-sau 16 ngày, d-sau 24 ngày); tầng đáy (e-sau 32 ngày, f-sau 40 ngày)
Ở tầng đáy (Hình 3e, Hình 3f), xu hướng phân bố của nguồn giống tương tự như tầng mặt và tầng giữa nhưng với phạm vi rộng hơn và mật độ dày hơn. Không giống như ở tầng mặt và tầng giữa, ở tầng này, đến cuối ngày đầu của chu kì sinh sản, mới nhận thấy sự di chuyển nguồn giống ở từng khu vực sinh sản với mật độ rất thấp, dưới 4 cá thể/m3. Sau 8 ngày, nguồn giống lan rộng ra xung quanh cả về phía bắc, phía nam và tây nam của khu vực nghiên cứu, cách vị trí ban đầu lên đến 200 km, với mật độ từ 1 đến 7 cá thể/m3. Tại một số khu vực sinh sản, mật độ nguồn giống rất cao, dao động từ 6 đến 12 cá thể/m3. Từ sau 24 ngày, nguồn giống phát tán, mở rộng, và ổn định dần chủ yếu xuống phía bắc, đông, nam và đông nam của khu vực nghiên cứu. Mật độ nguồn giống ở các khu vực sinh sản hầu như rất cao, lên đến 12 cá thể/m3. Từ sau ngày 40, nguồn giống phát tán lên phía bắc và ổn định mật độ chủ yếu từ 1 đến 12 cá thể/m3. Mật độ nguồn giống và diện tích phát tán tăng dần, ảnh hưởng đến toàn bộ vùng biển phía nam, lan ra ngoài khơi phía đông nam của Việt Nam và ven biển từ Quảng Ngãi trở xuống đến Vũng Tàu. Càng ra ngoài khơi, mật độ nguồn giống càng giảm. Từ sau 40 ngày, khu vực tìm thấy cá thể đã tăng đáng kể, có thể cách 300 km so với vị trí ban đầu.
3.3. Quá trình phát tán nguồn giống trong mùa gió đông bắc
Kết quả mô phỏng sự phát tán nguồn giống dưới ảnh hưởng của gió mùa đông bắc (tháng 11-12) cho thấy: Ở tầng mặt, về cơ bản, sự phát tán của nguồn giống ở khu vực nghiên cứu trong mùa này khá tương tự với mùa gió tây nam. Tuy nhiên, xu hướng di chuyển của nguồn giống ở mùa này rõ ràng hơn mùa trước. Nguồn giống chủ yếu lan rộng về phía nam và đông bắc ở tầng mặt và tầng giữa, theo hướng dòng chảy. Ngày đầu tiên của chu kì sinh sản, nguồn giống tập trung cục bộ ở từng khu vực sinh sản với mật độ chủ yếu từ 2 đến 11 cá thể/m3 (Hình 4a). Chỉ sau khoảng 8 ngày, nguồn giống di chuyển xuống phía nam và đông nam, cách vị trí ban đầu có thể lên đến 300 km, với mật độ từ 1 đến 12 cá thể/m3 (Hình 4b). Từ sau 16 ngày trở đi, nguồn giống phát tán mạnh mẽ hơn nữa về phía nam. Mật độ nguồn giống và diện tích phát tán tăng dần, càng ra ngoài khơi, mật độ nguồn giống càng giảm (Hình 4).
Đối với tầng giữa (Hình 4c, Hình 4d), xu hướng phân bố của cá thể tương tự như tầng mặt nhưng với mật độ thấp hơn và phạm vi rộng hơn. Ngày đầu của chu kì sinh sản, nguồn giống vẫn tập trung cục bộ ở từng khu vực sinh sản với mật độ rất thấp, dưới 3 cá thể/m3. Sau 8 ngày, nguồn giống lan rộng ra xung quanh, cách vị trí ban đầu lên đến 200 km, với mật độ cao chủ yếu từ 1 đến 7 cá thể/m3. Tại một số khu vực sinh sản, mật độ lên đến 12 cá thể/m3. Ở tầng này, hướng di chuyển của nguồn giống không được tập trung và rõ ràng như tầng mặt. Từ sau 32 ngày, nguồn giống phát tán, mở rộng, và ổn định dần về phía bắc, men theo đường bờ biển và chủ yếu xuống phía nam và đông nam của khu vực nghiên cứu. Từ sau ngày 40, nguồn giống phát tán lên phía bắc và ra ngoài khơi nhiều nên hầu như chỉ còn nhận thấy sự tập trung của nguồn giống ở phía đông nam và nam của khu vực nghiên cứu với mật độ ổn định chủ yếu từ 1 đến 6 cá thể/m3. Tuy nhiên vẫn rải rác một số khu vực có mật độ 12 cá thể/m3.

Hình 4. Quá trình phát tán nguồn giống khu vực nghiên cứu (cá thể/m3) dưới ảnh hưởng của gió đông bắc: tầng mặt (a-sau 1 ngày, b-sau 8 ngày); tầng giữa (c-sau 16 ngày, d-sau 24 ngày); tầng đáy (e-sau 32 ngày, f-sau 40 ngày)
Ở tầng đáy (Hình 4e, Hình 4f), xu hướng phân bố của nguồn giống tương tự như tầng mặt và tầng giữa nhưng với phạm vi rộng hơn và mật độ dày hơn rất nhiều. Tại tầng đáy, trong ngày đầu tiên của chu kỳ sinh sản, sau khoảng thời gian nhất định mới nhận thấy sự di chuyển của nguồn giống ở từng khu vực sinh sản với mật độ chủ yếu thấp hơn 4 cá thể/m3 nhưng một vài trạm có mật độ nguồn giống lên đến 12 cá thể/m3. Sau 8 ngày, mật độ nguồn giống tại các khu vực sinh sản đã tăng lên đáng kể, đều chạm ngưỡng 12 cá thể /m3. Lúc này, nguồn giống lan rộng ra xung quanh về phía phía nam và đông bắc của khu vực nghiên cứu, cách vị trí ban đầu lên đến 50 km, với mật độ từ 1 đến 7 cá thể/m3. Sau 16 ngày, nguồn giống lan rộng ra khắp vùng biển phía đông bắc của khu vực nghiên cứu. Tuy nhiên, phía nam của khu vực nghiên cứu mật độ nguồn giống lên đến 12 cá thể/m3 và tiếp tục mở rộng phạm vi của mật độ này đến hết mùa. Từ sau 24 ngày, nguồn giống phát tán và mở rộng dần lên phía bắc, men theo ven bờ với mật độ từ 1 đến 4 cá thể/m3. Sau 32 ngày, nguồn giống tiếp tục phát tán lên phía bắc, phía đông bắc và phía nam, rồi ổn định mật độ chủ yếu từ 1 đến 12 cá thể/m3. Mật độ nguồn giống và diện tích phát tán tăng dần, ảnh hưởng đến toàn bộ vùng biển phía nam, ven biển duyên hải miền trung và lan ra ngoài khơi phía đông nam của khu vực nghiên cứu. Càng ra ngoài khơi, mật độ nguồn giống càng giảm dần. Khoảng cách phát tán của nguồn giống vượt quá vài trăm km so với vị trí ban đầu.
4. KẾT LUẬN
Quá trình phát tán nguồn giống từ một số khu vực ở vùng biển Đông Nam Bộ đã được mô phỏng dựa trên mô hình Delft3D với kịch bản sinh sản liên tục trong 7 ngày vào hai mùa gió đông bắc (tháng 11-12) và mùa gió tây nam (tháng 7-8). Kết quả cho thấy sự phát tán nguồn giống phụ thuộc vào mùa gió và chu kì sinh sản của nguồn giống.
Trong cả hai mùa, nguồn giống phát tán chủ yếu theo hướng nam và tây nam. Mật độ nguồn giống cũng như phạm vi phát tán ở tầng mặt thường nhỏ hơn ở tầng giữa và tầng đáy. Nhìn chung, càng đến cuối mùa, mật độ con giống ở các vị trí bãi đẻ ban đầu càng giảm do nguồn giống đã di chuyển, phát tán ra xung quanh. Xu hướng phát tán của nguồn giống sẽ ổn định sau khoảng 24 ngày. Phạm vi phát tán của nguồn giống trong cả mùa gió đông bắc và tây nam có thể xa vài trăm km so với vị trí ban đầu.
Lời cảm ơn: Nghiên cứu này là một phần kết quả từ nhiệm vụ hợp tác quốc tế cấp Viện Hàn lâm KH&CN Việt Nam “Đánh giá hiện trạng và tiềm năng phát tán nguồn giống của một số nhóm sinh vật trong phạm vi vùng biển khảo sát bằng tàu Viện sĩ Oparin lần thứ 8”, mã số QTRU02.04/23-24.

