XÂY DỰNG QUY TRÌNH XÁC ĐỊNH CARBON TỔNG VÀ CARBON HỮU CƠ TỔNG SỐ TRONG BỤI KHÔNG KHÍ XUNG QUANH PM10
Chi nhánh Phía Nam, Trung tâm Nhiệt đới Việt - Nga
Số 3, đường 3/2, phường 11, quận 10, Tp. Hồ Chí Minh
Số điện thoại: 0379185867; Email: lethu321994@gmail.com
Nội dung chính của bài viết
Tóm tắt (Abstract)
Nghiên cứu đã xây dựng được quy trình phân tích hàm lượng TC, TOC trong bụi PM10 trong không khí xung quanh với các điều kiện tối ưu, phù hợp với trang thiết bị của phòng thí nghiệm. Giới hạn phát hiện (MDL) của phương pháp phân tích TC, TOC lần lượt là 1,3 µg/Nm3 và 1,2 µg/Nm3. Kết quả so sánh liên phòng giữa 2 phòng thí nghiệm có kết quả tương đồng nhau (p-value > 0,05). Nghiên cứu bước đầu đánh giá thành phần carbon của hạt bụi PM10, đồng thời cũng mở ra hướng nghiên cứu thành phần ở cấp hạt thấp hơn (PM2.5), góp phần vào quá trình nghiên cứu và đánh giá các tác động của ô nhiễm không khí, đặc biệt là của các hợp chất hữu cơ có trong không khí đến sức khỏe con người.
Từ khóa (Keywords)
Carbon tổng số, Carbon hữu cơ tổng số (TOC), bụi PM10 không khí, ô nhiễm, Quy trình xác định carbon tổng
Chi tiết bài viết
1. ĐẶT VẤN ĐỀ
Ô nhiễm không khí hiện đang là một trong những vấn đề môi trường nghiêm trọng diễn ra trên toàn cầu do các tác động tiêu cực đến sức khỏe con người. Trong số các chất gây ô nhiễm không khí, vật chất dạng hạt (PM, hay còn gọi là bụi) được quan tâm nhiều trong những thập kỷ gần đây do có ảnh hưởng tiêu cực đến môi trường một cách toàn diện. Những ảnh hưởng đó xuất phát từ sự đa dạng về nguồn gốc phát thải, cơ chế hình thành cũng như sự thay đổi về kích thước, thành phần hóa học, khả năng phát tán trong khí quyển của các hạt vật chất [1]. Các hạt bụi trong không khí bắt nguồn từ các hoạt động tự nhiên (phong hóa vỏ trái đất, sóng biển, núi lửa phun trào, bão cát, cháy rừng,…) và các hoạt động nhân tạo (hoạt động công nghiệp, nông nghiệp, giao thông vận tải, đốt nhiên liệu hóa thạch, đốt sinh khối, đốt rác,…), bao gồm bụi có đường kính khí động học ≤ 10 µm (PM10, bụi thô), ≤ 2,5 µm (PM2,5, bụi mịn), ≤ 0,1 µm (PM0,1, bụi siêu mịn). Trong đó, vật chất hạt thô (PM10) đại diện cho kích thước hạt có thể hô hấp, có ảnh hưởng xấu đến sức khỏe do các hợp chất độc hại có thể hấp phụ lên hạt bụi. Bụi PM10 có thể gây kích ứng mắt, mũi, cổ họng với các biểu hiện cụ thể: chảy nước mắt, nước mũi, hắt hơi, ho. Tiếp xúc thường xuyên với PM10 sẽ làm suy giảm nghiêm trọng chức năng phổi, gây nên các bệnh hen suyễn, bệnh tim [2].
Thành phần hóa học của PM là hỗn hợp của các hạt rắn và (hoặc) các giọt lỏng được tạo thành từ các hợp chất khác nhau như: Các hợp chất của carbon, các ion vô cơ, bụi khoáng, sol khí muối biển, kim loại, các nguyên tố vi lượng, hơi nước,… Trong đó, carbon đóng một vai trò quan trọng và là thành phần chủ yếu chiếm khoảng 20-50% nồng độ khối lượng PM10 trong khí quyển, tỷ lệ này có thể cao hơn khi hàm lượng bụi tăng cao [3, 4]. Các loại carbon trong khí quyển với các thành phần và cấu trúc hóa học khác nhau có nguồn gốc tự nhiên và nhân tạo, tồn tại không chỉ ở dạng khí mà còn xuất hiện ở dạng rắn hay rắn - lỏng trong các hạt sol khí. Tổng lượng carbon (TC) trong các hạt sol khí chủ yếu là hỗn hợp của carbon hữu cơ (OC), carbon nguyên tố (EC), ngoài ra còn có sự đóng góp của các hợp chất carbon vô cơ (IC, muối carbonat) phụ thuộc vào nguồn gốc phát sinh của các chất [5]. Sự hiện diện và tác động của carbon trong khí quyển là một chủ đề lớn về biến đổi khí hậu đang nhận được sự quan tâm của các nhà khoa học trên thế giới.
Cả EC và OC có trong sol khí đều có nguồn gốc từ hầu hết mọi quá trình nhiệt liên quan đến vật chất chứa carbon. Carbon nguyên tố (EC) được xem là chất ô nhiễm phát sinh chủ yếu từ quá trình đốt cháy không hoàn toàn các nhiên liệu gốc carbon, như đốt gỗ để sưởi ấm dân dụng và đốt nhiên liệu hóa thạch sử dụng trong giao thông vận tải, sản xuất điện và các quy trình công nghiệp [6]. Trong khí quyển, EC thường tồn tại ở trạng thái trơ nên có thể coi EC là chất đánh dấu hữu ích của các chất gây ô nhiễm không khí do con người tạo ra [7]. Trong khi đó, carbon hữu cơ (OC) bao gồm carbon hữu cơ sơ cấp (POC), được thải trực tiếp vào không khí từ các hoạt động tự nhiên, nhân tạo và carbon hữu cơ thứ cấp (SOC), được tạo ra trong các phản ứng quang hóa của tiền chất dạng khí, bao gồm các hợp chất hữu cơ dễ bay hơi (VOCs) [8]. Các thành phần của OC rất phức tạp và giàu chất độc hại. Nhiều chất trong số đó là chất gây đột biến gen ở người, chất gây ung thư như: một số hydrocacbon thơm đa vòng (PAHs), biphenyl polyclo hóa (PCB), dibenzop-dioxin polyclo hóa (PCDD) và dibenzofuran polyclo hóa (PCDF) [7]. Vì vậy, việc tiến hành giám sát hàm lượng, thành phần carbon trong bụi thường xuyên để đảm bảo chất lượng môi trường không khí xung quanh là cần thiết.
Vì hỗn hợp carbon trong các hạt vật chất chứa nhiều hợp chất hữu cơ rất phức tạp nên việc phân tích chúng được đơn giản hóa bằng cách phân tích tổng lượng carbon (TC) gồm các thành phần là OC, EC và IC, trong đó tổng của hai giá trị OC và EC được coi là tổng lượng carbon hữu cơ (TOC) [9]. Trong những năm gần đây, các nghiên cứu trong và ngoài nước tập trung chủ yếu vào việc phân tích hàm lượng, thành phần carbon trong các hạt PM bằng các phương pháp nhiệt, nhiệt quang [5, 7, 9]. Các phương pháp phân tích dựa trên nguyên tắc cơ bản là chuyển tất cả các dạng carbon trong mẫu về dạng đơn giản là CO2 hoặc CH4 và được định lượng bằng các loại đầu dò. Tuy nhiên, tại Việt Nam, theo tìm hiểu của nhóm tác giả, hiện chưa có tiêu chuẩn nào được ban hành để giám sát hàm lượng carbon trong bụi không khí xung quanh. Vì vậy, nghiên cứu này nhằm mục đích xây dựng một quy trình lấy mẫu và phân tích hàm lượng TC, TOC trong mẫu bụi PM10 trong không khí xung quanh phù hợp với điều kiện trang thiết bị của phòng thí nghiệm. Đây là cơ sở để xác định, đánh giá các chất gây ô nhiễm, đẩy mạnh công tác nghiên cứu, giám sát chất lượng môi trường không khí.
2. ĐỐI TƯỢNG VÀ PHƯƠNG PHÁP NGHIÊN CỨU
2.1. Đối tượng, địa điểm, thời gian nghiên cứu
Đối tượng nghiên cứu: Carbon tổng số (TC), Carbon hữu cơ tổng số (TOC) trong bụi PM10 không khí xung quanh.
Địa điểm quan trắc: Mẫu bụi PM10 được thu thập tại 3 vị trí trong khu vực thành phố Hồ Chí Minh bao gồm: Khu dân cư tại Quận 1 (ký hiệu mẫu là Q1) có tọa độ: 10.7581011, 106.6885685; Trạm Nghiên cứu Ứng dụng và Thử nghiệm Cần Giờ (ký hiệu mẫu là CG) có tọa độ: 10.4548808, 106.8933499; Chi nhánh Phía Nam, Trung tâm Nhiệt đới Việt - Nga: Vị trí lấy mẫu tại cổng Chi nhánh (ký hiệu mẫu là CN1) có tọa độ: 10.7766869, 106.6809184 và tại sân thượng tòa S1 (ký hiệu mẫu là CN2) có tọa độ: 10.7770914, 106.6816320.
Các mẫu bụi PM10 được thu thập trong khoảng thời gian từ tháng 5 đến tháng 7 năm 2023.
2.2. Hóa chất, chất chuẩn
Các hóa chất, chất chuẩn được sử dụng là glucozơ (Sigma-Aldrich, Mỹ), natri cacbonat (Sigma-Aldrich, Mỹ), axit phosphoric (Sigma-Aldrich, Mỹ), giấy lọc sợi thạch anh (Whatman, Anh), khí oxy tinh khiết 99,999% (Nhật Bản). Các phụ kiện, vật tư tiêu hao của hãng Shimadzu (Nhật Bản).
2.3. Phương pháp lấy mẫu
Mẫu bụi PM10 được lấy bằng thiết bị thu mẫu bụi PM10 thể tích lớn Tisch (model TE-607VFC+BLX, Mỹ) với tốc độ lấy mẫu trong khoảng 0,99÷1,27 m3/phút. Phương pháp lấy mẫu được thực hiện theo tiêu chuẩn US EPA - 40 CFR Appendix J to Part 50 [10].
Trước khi lấy mẫu, giấy lọc sợi thạch anh được nung ở nhiệt độ 600oC trong 20 phút để loại bỏ các tạp chất chứa carbon trong giấy lọc, để nguội đến nhiệt độ phòng trong bình hút ẩm, sau đó cân và ghi lại khối lượng giấy lọc (mo) trước khi mang đến vị trí lấy mẫu.
Lắp đặt máy tại vị trí lấy mẫu đã được chọn, ghi chép các thông tin thời tiết, tọa độ, đặt giấy lọc đã chuẩn bị vào khay thu mẫu, bật máy và cài đặt thời gian lấy mẫu (Hình 1). Mẫu được lấy tại bốn thời điểm khảo sát: 8 giờ, 12 giờ, 24 giờ và 48 giờ. Mẫu trắng hiện trường được lấy tương tự với quy trình lấy mẫu nhưng không bật máy.
Mẫu bụi PM10 thu thập tại các vị trí được kí hiệu như sau: CG.08h, CG.12h, CG.24h, CG.48h; Q1.08h, Q1.12h, Q1.24h, Q1.48h; CN1.08h, CN1.12h, CN1.24h, CN1.48h; CN2.08h, CN2.12h, CN2.24h, CN2.48h.
Mẫu bụi PM10 sau khi lấy được vận chuyển về phòng thí nghiệm, bảo quản ở nhiệt độ -20oC đến khi thực hiện phân tích TC và TOC. Tính và ghi lại diện tích phần giấy lọc chứa bụi So (cm2).

Hình 1. Lấy mẫu tại: a) Trạm Nghiên cứu, Ứng dụng và Thử nghiệm Cần Giờ (CG),
b) Chi nhánh Phía Nam, Trung tâm Nhiệt đới Việt - Nga (CN2)
2.4. Quy trình phân tích TC, TOC trong bụi PM10
Mẫu bụi PM10 được xác định thành phần carbon (TC, TOC) bằng thiết bị TOC-L series SSM-5000A của hãng Shimadzu (Nhật Bản) (Hình 2), áp dụng theo phương pháp oxy hóa với xúc tác và nhiệt độ cao.

Hình 2. Hệ thống phân tích tổng carbon TOC-L series SSM-5000A
2.4.1. Nguyên tắc
Tổng lượng carbon (TC) được xác định bằng cách oxi hóa hoàn toàn mẫu trong lò với xúc tác và nhiệt độ ở 900oC để toàn bộ lượng carbon có trong mẫu chuyển thành CO2, được dòng khí mang đưa đến đầu dò NDIR và xác định cường độ tín hiệu từ đó suy ra được hàm lượng carbon tổng trong mẫu.
Tổng lượng carbon vô cơ (IC) được xác định bằng phương pháp axit hóa mẫu bằng dung dịch axit phosphoric trong lò với nhiệt độ 200oC. CO2 sinh ra từ quá trình phản ứng được dòng khí mang đưa đến đầu dò NDIR để xác định lượng carbon vô cơ có trong mẫu.
Khi đó tổng lượng carbon hữu cơ (TOC) được xác định gián tiếp bằng hiệu số của tổng hàm lượng carbon trong mẫu và tổng hàm lượng carbon vô cơ có trong mẫu: TOC = TC - IC.
2.4.2. Chất chuẩn
Chất chuẩn được chuẩn bị bằng cách sấy khô ở nhiệt độ khoảng 105÷120oC trong 1 giờ, để nguội trong bình hút ẩm và bảo quản trong bình kín.
Chuẩn bị các dung dịch chuẩn có nồng độ 500, 1000, 2000, 5000 mg/l.
2.4.3. Cài đặt các điều kiện thiết bị
Khí mang cài đặt cho TOC-L: Không khí (21% O2; 79% N2), áp suất 200 kPa, tốc độ dòng khí 150 ml/phút. Khí mang cài đặt cho SSM-5000A: Khí O2, áp suất 200 kPa, tốc độ dòng khí 500 ml/phút. Chương trình nhiệt độ lò SSM-5000A: Lò TC ở 900oC, lò IC ở 200oC.
Thuyền nung mẫu phải được làm sạch bằng cách ngâm trong dung dịch hydrochloric axit 2 mol/L trong khoảng 10 phút, rửa sạch bằng nước tinh khiết, sấy khô trong tủ sấy và nung thuyền mẫu trong lò nung ở nhiệt độ 900oC trong khoảng 20 phút.
2.4.4 Phân tích mẫu
Chuẩn bị mẫu: Phần giấy lọc chứa bụi được cắt thành các mảnh nhỏ với kích thước 1,0 x 1,5 cm, tương ứng với diện tích là 1,5 cm2 (Hình 3). Diện tích giấy lọc chứa bụi được thực hiện phân tích khảo sát là: 1,5 cm2; 3,0 cm2 và 4,5 cm2 tương ứng lần lượt với số lượng mảnh giấy lọc đã cắt là: 1 mảnh, 2 mảnh và 3 mảnh. Mẫu blank phòng thí nghiệm (PTN) và blank hiện trường được chuẩn bị phân tích tương tự như trên.

Hình 3. Chuẩn bị mẫu giấy phân tích có diện tích 1,5 cm2
Mẫu được đặt trong thuyền nung mẫu (kích thước 1,0 x 3,5 cm), đưa vào thiết bị phân tích và tiến hành đo mẫu (Hình 4).

Hình 4. Đưa mẫu vào máy phân tích
Sau khi có kết quả phân tích, ghi lại nồng độ và tính toán hàm lượng TC, TOC trong bụi không khí xung quanh. Kết quả là trung bình của 3 lần thử, được làm tròn đến 3 số lẻ, đơn vị là µg/Nm3.
2.5. Phương pháp tham chiếu, đánh giá, phân tích số liệu.
Sử dụng các phần mềm phân tích, đánh giá số liệu như Microsoft Excel và R. So sánh sự khác nhau của dữ liệu bằng kiểm định Wilcoxon ở mức ý nghĩa α = 5%. Áp dụng các tiêu chuẩn trong và ngoài nước để xác nhận giá trị sử dụng của phương pháp phân tích.
3. KẾT QUẢ VÀ THẢO LUẬN
3.1. Kết quả thu mẫu bụi PM10
Mẫu bụi PM10 thu thập tại các vị trí quan trắc được lựa chọn trong khoảng thời gian thu mẫu khảo sát là: 8 giờ, 12 giờ, 24 giờ, 48 giờ. Kết quả thu được 14 mẫu PM10 được trình bày trong Bảng 1, tuy nhiên mẫu bụi PM10 trong thời gian 48 giờ thu tại Chi nhánh Phía Nam, Trung tâm Nhiệt đới Việt - Nga không được thực hiện.
Để xác định khối lượng PM10, các bộ lọc được cân trước và sau khi lấy mẫu bằng cân phân tích có độ nhạy cao (10-4 - 10-6 g). Trước khi cân, các bộ lọc trước và sau khi lấy mẫu được cân bằng độ ẩm trong bình hút ẩm trong thời gian 48 giờ, ở nhiệt độ 25±2oC và độ ẩm tương đối 35±5%.
Bảng 1. Kết quả thu mẫu bụi PM10 tại các vị trí quan trắc
STT | Kí hiệu mẫu | Thời gian thu mẫu | Khối lượng giấy lọc (mo) | Khối lượng giấy lọc chứa bụi (m1) | Thể tích không khí (Nm3) | Nồng độ PM10 (µg/Nm3) |
Q1.08h | 6h00-02.06.2023 đến 14h00-02.06.2023 | 4,3391 | 4,3460 | 529,15 | 13,040 | |
Q1.12h | 10h30-01.06.2023 đến 22h30-01.06.2023 | 4,2835 | 4,2994 | 833,58 | 19,074 | |
Q1.24h | 9h00-29.05.2023 đến 9h00-30.05.2023 | 4,2922 | 4,3186 | 1652,47 | 15,976 | |
Q1.48h | 10h00-30.05.2023 đến 10h00-01.06.2023 | 4,3011 | 4,3291 | 2742,92 | 10,208 | |
CG.08h | 6h00-07.06.2023 đến 14h00-07.06.2023 | 4,3151 | 4,3158 | 531,98 | 1,316 | |
CG.12h | 11h30-06.06.2023 đến 23h30-06.06.2023 | 4,3219 | 4,3260 | 832,39 | 4,926 | |
CG.24h | 11h-05.06.2023 đến 11h-06.06.2023 | 4,2957 | 4,3200 | 1655,66 | 14,677 | |
CG.48h | 14h15-07.06.2023 đến 14h15-09.06.2023 | 4,2987 | 4,3285 | 2742,58 | 10,866 | |
CN1.08h | 6h30-22.07.2023 đến 14h30-22.07.2023 | 4,2889 | 4,2965 | 551,68 | 13,776 | |
CN1.12h | 18h00-21.07.2023 đến 6h00-22.07.2023 | 4,3750 | 4,3913 | 812,95 | 20,051 | |
CN1.24h | 15h00-22.07.2023 đến 15h00-23.07.2023 | 4,2961 | 4,3213 | 1663,42 | 15,150 | |
CN2.08h | 11h30-23.07.2023 đến 23h30-23.07.2023 | 4,3217 | 4,3320 | 395,80 | 26,023 | |
CN2.12h | 18h00-21.07.2023 đến 6h00-22.07.2023 | 4,3107 | 4,3338 | 819,60 | 28,185 | |
CN2.24h | 11h00-22.07.2023 đến 11h00-23.07.2023 | 4,3123 | 4,3376 | 1357,44 | 18,638 |
Các mẫu bụi PM10 được thu thập trong thời gian từ tháng 5 đến tháng 7 năm 2023 đều có nồng độ bụi PM10 trong không khí xung quanh tương đối thấp, và có giá trị thấp hơn so với quy chuẩn kỹ thuật quốc gia về chất lượng không khí QCVN 05:2023/BTNMT (giá trị PM10 trung bình 24 giờ không quá 100 µg/Nm3). Nguyên nhân là do thời điểm lấy mẫu trong mùa mưa, nước mưa có khả năng rửa trôi các hạt ô nhiễm và làm giảm lượng bụi có trong khí quyển.
3.2. Dựng đường chuẩn
Dựng đường chuẩn TC, IC ở dải nồng độ: 0, 50, 100, 200, 500 µg. Dùng micropipet hút 100 µl các dung dịch chuẩn cho vào thuyền nung mẫu chứa mẫu blank PTN và tiến hành phân tích mẫu. Đường chuẩn phải tuyến tính và có hệ số R2 ≥ 0,995. Kết quả dựng đường chuẩn được thể hiện ở Hình 5.

Hình 5. a) Đường chuẩn TC; b) Đường chuẩn IC
3.3. Khảo sát lượng mẫu phân tích
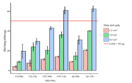
Các mẫu giấy lọc bụi PM10 được thu thập trong thời gian 8 giờ, 12 giờ, 24 giờ, 48 giờ với diện tích giấy lọc phân tích được khảo sát là 1,5 cm2, 3,0 cm2, 4,5 cm2. Kết quả khảo sát thể hiện ở Hình 6 và Hình 7.

Hình 6. Kết quả khảo sát thời gian lấy mẫu (08 giờ và 12 giờ) và diện tích
giấy lọc phân tích (1,5 cm2; 3,0 cm2; 4,5 cm2) tại các vị trí khảo sát
Kết quả khảo sát cho thấy, mẫu bụi được thu trong thời gian 8 giờ và 12 giờ khi phân tích ở các diện tích giấy lọc khảo sát lần lượt là 1,5 cm2; 3,0 cm2 đều cho kết quả phân tích hàm lượng carbon (TC) thấp hơn giá trị giới hạn định lượng (LOQ) tính từ kết quả phân tích của thiết bị (50 µg), nên kết quả này không đáng tin cậy. Kết quả phân tích mẫu thu trong thời gian 12 giờ ở diện tích giấy lọc 4,5 cm2 có sự khác nhau, cụ thể, mẫu CG.12h có giá trị thấp hơn LOQ (50 µg), mẫu CN1.12h và Q1.12h cho kết quả cao hơn giá trị LOQ (50 µg).
Đối với mẫu thu trong thời gian 24 giờ và 48 giờ, khi phân tích ở diện tích giấy 1,5 cm2 cũng cho kết quả phân tích hàm lượng carbon (TC) thấp hơn giá trị LOQ (50 µg). Khi thay đổi diện tích giấy lọc phân tích là 3 cm2 hoặc 4,5 cm2 đều cho kết quả phân tích cao hơn LOQ (50 µg) và tính ra được nồng độ TC trong không khí tương đồng nhau khi phân tích ở hai diện tích giấy này. Cụ thể, kết quả nồng độ TC trong bụi khi được tính từ mẫu PM10-CG.24h với diện tích giấy lọc phân tích 3,0 cm2 và 4,5 cm2 lần lượt là: 4,995 µg/Nm3 và 4,882 µg/Nm3 (không có sự khác biệt về mặt thống kê, p-value > 0,05).

Hình 7. Kết quả khảo sát thời gian lấy mẫu (24 giờ và 48 giờ) và diện tích
giấy lọc phân tích (1,5 cm2; 3,0 cm2; 4,5 cm2) tại các vị trí khảo sát
Từ kết quả khảo sát, nhóm tác giả lựa chọn điều kiện tối ưu nhất: thời gian thu mẫu ít nhất 24 giờ và diện tích giấy lọc phân tích không nhỏ hơn 3,0 cm2 (đảm bảo kết quả phân tích nằm trong đường chuẩn) là phù hợp để phân tích TC và TOC trong bụi PM10 đối với thiết bị TOC-L series SSM-5000A tại Phòng Thí nghiệm Phân tích môi trường, Chi nhánh Phía Nam, Trung tâm Nhiệt đới Việt - Nga.
3.4. Xây dựng hồ sơ phê duyệt phương pháp
3.4.1. Xác định giới hạn phát hiện của phương pháp (MDL)
Tiến hành xác định giới hạn phát hiện của phương pháp (MDL) theo hướng dẫn US EPA - 40 CFR Appendix B to Part 136 - Definition and Procedure for the Determination of the Method Detection Limit - Revision 2. Thực hiện phân tích dựa trên mẫu blank PTN và mẫu thêm chuẩn (Spike). Mẫu blank là mảnh giấy lọc có diện tích 3,0 cm2 không chứa bụi. Mẫu thêm chuẩn là mẫu được thêm hàm lượng chuẩn glucose là 50 µg vào mẫu nền. Chuẩn bị 7 mẫu blank PTN và 7 mẫu spike, tiến hành phân tích trong ba ngày liên tục.
Kết quả xác định giới hạn phát hiện và giới hạn định lượng của phương pháp phân tích TC, TOC trong bụi không khí xung quanh được thể hiện trong Bảng 2. Phương pháp phân tích áp dụng đối với mẫu bụi PM10 thu trong 24 giờ, với tốc độ dòng là 1,13 m3/phút (tương ứng với thể tích khí chuẩn là 1627,2 Nm3) và diện tích giấy lọc phân tích lựa chọn là 3,0 cm2, thu được kết quả giới hạn phát hiện của phương pháp (MDL) như sau: MDL của phương pháp phân tích TC là 1,3 (µg/Nm3) và MDL của phương pháp phân tích TOC là 1,2 (µg/Nm3).
Bảng 2. Giới hạn phát hiện và giới hạn định lượng của phương pháp

3.4.2. Xác nhận giá trị sử dụng của phương pháp
Giá trị sử dụng của phương pháp được xác định để chứng minh độ tin cậy của phương pháp và kết quả thử nghiệm, thông qua các thông số đánh giá như: độ chụm, độ đúng, độ không đảm bảo đo (ĐKĐBĐ). Độ chụm được đánh giá thông qua độ lặp lại. Mẫu được phân tích 7 lần lặp lại/nền mẫu, được thực hiện lặp lại với hai nhân viên PTN. Độ đúng được thực hiện thông qua hiệu suất thu hồi, trong đó các nền mẫu được thêm chuẩn có nồng độ 16 µg/Nm3, được đo lặp lại 7 lần. Kết quả được thể hiện dưới Bảng 3.
Bảng 3. Độ chụm, độ đúng và ĐKĐBĐ của phương pháp phân tích

Kết quả cho thấy độ chụm và độ đúng của phương pháp đều đạt giá trị theo hướng dẫn của AOAC [11], chứng tỏ phương pháp phân tích TC, TOC trong bụi không khí xung quanh được nhóm nghiên cứu xây dựng có độ tin cậy cao.
3.5. Kết quả phân tích TC, TOC trong mẫu bụi PM10
Mẫu bụi thu thập trong vòng 24 giờ tại ba vị trí quan trắc đã chọn, được phân tích theo quy trình đã xây dựng tại Phòng thí nghiệm, Phòng Phân tích môi trường, Chi nhánh Phía Nam, Trung tâm Nhiệt đới Việt - Nga (CNPN) và kết quả phân tích được thể hiện trong Bảng 4.
Đồng thời, ba mẫu trên được phân tích so sánh tại một phòng thí nghiệm thuộc Trường Đại học Khoa học Tự nhiên, Đại học Quốc Gia TP. HCM (KHTN). Phương pháp phân tích được phòng thí nghiệm này áp dụng là phương pháp quang nhiệt, sử dụng máy phân tích thành phần carbon OC-EC (Model 5L, Sunset Laboratory Inc., Hoa Kỳ). Diện tích giấy lọc phân tích là 1,5 cm2. Kết quả phân tích được thể hiện trong Bảng 4.
Bảng 4. Kết quả phân tích mẫu bụi PM10

Kết quả phân tích ba mẫu bụi PM10 giữa hai phòng thí nghiệm CNPN và KHTN đều cho kết quả có giá trị tương đương nhau (p-value > 0,05). Trong đó, kết quả phân tích cho thấy thành phần TC và TOC trong mỗi mẫu có giá trị bằng nhau, khi đó, mẫu bụi không có sự đóng góp của thành phần carbon vô cơ (IC = 0). Các hợp chất carbon vô cơ (chủ yếu là các muối carbonat) có nguồn gốc từ sự mài mòn trên đường phố, từ các công trường xây dựng, bão bụi [12]. Tuy nhiên, thời điểm lấy mẫu diễn ra vào mùa mưa, đồng thời các vị trí quan trắc không nằm gần công trường xây dựng và không xảy ra hiện tượng bão bụi, nên kết quả phân tích không có thành phần IC và giá trị thành phần TC = TOC là có độ tin cậy cao.
4. KẾT LUẬN
Nghiên cứu đã xây dựng được quy trình phân tích hàm lượng TC, TOC trong bụi PM10 trong không khí xung quanh với các điều kiện tối ưu, phù hợp với trang thiết bị của phòng thí nghiệm. Giới hạn phát hiện (MDL) của phương pháp phân tích TC, TOC lần lượt là 1,3 µg/Nm3 và 1,2 µg/Nm3. Kết quả so sánh liên phòng giữa 2 phòng thí nghiệm có kết quả tương đồng nhau (p-value > 0,05). Nghiên cứu bước đầu đánh giá thành phần carbon của hạt bụi PM10, đồng thời cũng mở ra hướng nghiên cứu thành phần ở cấp hạt thấp hơn (PM2.5), góp phần vào quá trình nghiên cứu và đánh giá các tác động của ô nhiễm không khí, đặc biệt là của các hợp chất hữu cơ có trong không khí đến sức khỏe con người.
Tài liệu tham khảo
2. Zhang Qingli, et al., Overview of particulate air pollution and human health in China: Evidence, Challenges, and Opportunities, The Innovation, 2022, 3(6):100312.
3. Rastogi Neeraj, et al., Chemical and isotopic characteristics of PM10 over the Bay of Bengal: Effects of continental outflow on a marine environment, Science of the Total Environment, 2020, 726:138438.
4. Tohidi Ramin, Altuwayjiri Abdulmalik, Sioutas Constantinos, Investigation of organic carbon profiles and sources of coarse PM in Los Angeles, Environmental Pollution, 2022, 314:120264.
5. Górka Maciej, et al., Determination of multiple organic matter sources in aerosol PM10 from Wrocław, Poland using molecular and stable carbon isotope compositions, Atmospheric Environment, 2014, 89:739-748.
6. Avino Pasquale, Black carbon in atmosphere: Instrumentation, chemical-physical behavior, human health implications, Atmosphere, 2022, 13(12): 2087.
7. Błaszczak Barbara, Mathews Barbara, Characteristics of carbonaceous matter in aerosol from selected urban and rural areas of Southern Poland, Atmosphere, 2020, 11(7):687.
8. Morera-Gomez, Yasser, Zhiyuan Cong, and David Widory, Carbonaceous fractions contents and carbon stable isotope compositions of aerosols collected in the atmosphere of Montreal (Canada): seasonality, sources, and implications, Frontiers in Environmental Science, 2021, 9:622521.
9. Muránszky Gábor, et al., Chemical characterization of PM10 fractions of urban aerosol, Microchemical Journal, 2011, 98(1):1-10.
10. Code of Federal Regulations, Reference method for the determination of particulate matter as PM10 in the atmosphere, 40 CFR part 50, Appendix J, U.S. Government Printing Office, Washington, DC, 1988.
11. AOAC, Official Methods of Analysis, Association of Official Analytical Chemists, Arlington, VA, USA, 18th edition, 2005.
12. Jankowski Nicole, et al., Comparison of methods for the quantification of carbonate carbon in atmospheric PM10 aerosol samples, Atmospheric Environment, 2008, 42(34): 8055-8064.