ĐÁNH GIÁ CÁC PHƯƠNG PHÁP BẢO QUẢN VÀ TÁCH CHIẾT DNA SAN HÔ THUỘC GIỐNG ACROPORA CHO MỤC TIÊU GIẢI TRÌNH TỰ GEN
Chi nhánh Ven biển - Trung tâm Nhiệt đới Việt - Nga
30 Nguyễn Thiện Thuật, phường Nha Trang, Khánh Hoà
Số điện thoại: 0981 012 061; Email: ngocanhhhh.133@gmail.com
Nội dung chính của bài viết
Tóm tắt (Abstract)
Acropora là giống san hô đóng vai trò then chốt trong việc hình thành cấu trúc và bảo vệ rạn san hô. Nghiên cứu di truyền san hô góp phần làm sáng tỏ cơ chế đa dạng sinh học và phục hồi hệ sinh thái. Tuy nhiên, thành công của các nghiên cứu phụ thuộc đáng kể vào chất lượng DNA tổng số. Nghiên cứu này chúng tôi đánh giá hiệu quả của các phương pháp bảo quản và tách chiết DNA khác nhau trên san hô thuộc giống Acropora cho mục tiêu giải trình tự gen. Ba phương pháp bảo quản được so sánh bao gồm: Ethanol, dung dịch DESS và đông lạnh trong Nitơ lỏng. DNA được tách chiết bằng ba bộ kit thương mại khác nhau. Phương pháp đo quang phổ và phản ứng chuỗi PCR được sử dụng nhằm xác định chất lượng, số lượng và độ tinh sạch của DNA. Kết quả cho thấy, thời gian bảo quản, điều kiện lưu trữ và phương pháp tách chiết đều ảnh hưởng đến chất lượng DNA. Trong đó, bảo quản bằng dung dịch DESS và Nitơ lỏng kết hợp lưu trữ ở -80℃ cho kết quả tốt nhất về mặt ổn định và bảo toàn DNA. Đặc biệt, dung dịch DESS phù hợp cho điều kiện thu mẫu ngoài thực địa nhờ tính tiện dụng và an toàn. Bộ kit DNeasy PowerBiofilm Kit (Qiagen) cho hiệu suất tách chiết cao nhất, cung cấp DNA có độ tinh sạch, ổn định và thời gian xử lý mẫu ngắn. Kết quả nghiên cứu cung cấp thông tin quan trọng về phương pháp bảo quản và tách chiết DNA tối ưu cho san hô, góp phần nâng cao độ tin cậy trong các phân tích giải trình tự gen.
Abstract
EVALUATION OF PRESERVATION AND DNA EXTRACTION METHODS FOR ACROPORA CORALS FOR GENETIC SEQUENCING PURPOSES
Acropora corals are key reef-building taxa that play a central role in reef structure and protection. Genetic studies on corals contribute to understanding biodiversity mechanisms and ecosystem restoration, yet their success depends greatly on the quality of extracted DNA. This study assessed the efficiency of different preservation and extraction methods for Acropora corals for sequencing purposes. Three preservation methods were compared: ethanol, DESS solution, and liquid nitrogen freezing. DNA was extracted using three commercial kits. DNA quality, quantity, and purity were evaluated using spectrophotometry and PCR. The results showed that preservation time, storage condition, and extraction method significantly affected DNA quality. Among them, DESS solution and liquid nitrogen combined with -80℃ storage yielded the most stable and intact DNA. DESS was especially suitable for field sampling because of its safety and ease of use. Among the kits, the DNeasy PowerBiofilm Kit (Qiagen) provided the highest yield of pure and stable DNA with reduced processing time.Overall, this study provides important information on optimal preservation and extraction methods for coral DNA, supporting more reliable sequencing analyses and contributing to genetic.
Từ khóa (Keywords)
Acropora, Preservation, DNA extraction, Coral, Optimization, bảo quản, tách chiết DNA, san hô, tối ưu hoá
Chi tiết bài viết

Bài báo này được cấp phép theo Creative Commons Attribution 4.0 International License.
- Điểm nổi bật:
Nghiên cứu đã tiến hành so sánh nhiều phương pháp bảo quản và tách chiết trên giống san hô Acropora, cho phép đánh giá một cách toàn diện và lựa chọn được phương pháp tối ưu nhất phù hợp cho đối tượng nghiên cứu.
Kết quả chỉ ra rằng, phương pháp bảo quản mẫu trong dung dịch Dimethyl sulfoxide-EDTA-Saturated Salt (DESS) và lưu trữ ở -80℃ giúp duy trì chất lượng DNA tốt nhất, đặc biệt phù hợp cho mục đích lưu trữ dài hạn trong điều kiện thu mẫu thực địa.
Sử dụng bộ kit DNeasy PowerBiofilm Kit cho hiệu quả tách chiết DNA cao, cung cấp DNA có độ tinh sạch và ổn định, thích hợp cho các nghiên cứu tiếp theo.
1. ĐẶT VẤN ĐỀ
Acropora là giống san hô phổ biến nhất thuộc bộ san hô cứng (Scleractinia), đóng vai trò quan trọng và then chốt trong việc hình thành, bảo vệ và duy trì cân bằng hệ sinh thái đại dương. Trong bối cảnh biến đổi khí hậu và tác động tiêu cực từ môi trường hiện nay, các rạn san hô đang phải đối mặt với nguy cơ suy giảm nghiêm trọng. Acropora là đối tượng tượng nghiên cứu quan trọng trong việc tìm hiểu cơ chế thích nghi và khả năng chống chịu của san hô trước những biến đổi môi trường [1, 2]. Nghiên cứu giải trình tự gen san hô thuộc giống Acropora mang lại nhiều hiểu biết quan trọng trong hệ thống di truyền học, khám phá cơ chế thích của chúng với các biến đổi môi trường, từ đó làm tiền đề cho các nghiên cứu bảo tồn.
Các kỹ thuật nghiên cứu dựa trên phân tích DNA là nền tảng hữu ích cho các nghiên cứu di truyền, nhằm khám phá đa dạng sinh học và kết nối các rạn san hô trên toàn cầu. Một trong những yếu tố quan trọng quyết định đến độ chính xác và hiệu quả của các phân tích di truyền là chất lượng DNA đầu vào. Tuy nhiên, việc thu thập và bảo quản DNA san hô gặp nhiều khó khăn hơn so với các loài động vật có xương sống khác [3]. Quá trình này gặp nhiều thách thức do tác động từ môi trường như nhiệt độ, độ mặn, pH, tia cực tím (UV)… Đáng chú ý, bức xạ từ tia UV gây tổn thương DNA theo hai cơ chế: trực tiếp do sự hấp thụ các bước sóng năng lượng cao hoặc gián tiếp do sự hình thành các gốc oxy tự do. Dạng tổn thương trực tiếp phổ biến nhất do UV gây ra là dimer pyrimidine cyclobutane (CPDs) hình thành do liên kết cộng hoá trị giữa các base pyrimidine liền kề (chủ yếu là thymine) trong phân tử DNA, làm biến dạng chuỗi xoắn kép DNA [4]. Ngoài ra, tia UV gây dạng tổn thương gián tiếp với DNA san hô thông qua quá trình quang động học tạo ra các loại oxy phản ứng (ROS), dẫn đến đứt gãy sợi DNA và liên kết chéo giữa DNA, protein [5]. Ảnh hưởng của tia UV đến DNA san hô đặc biệt lớn hơn sau khi mẫu tách khỏi rạn, chuyển lên khỏi mặt nước và vận chuyển về phòng thí nghiệm. Mặc dù bảo quản mẫu với mục tiêu phân tích DNA được đánh giá quan trọng nhưng hiện nay có rất ít thử nghiệm về các phương pháp bảo quản mẫu san hô trước khi tiến hành thu thập tại thực địa được thực hiện [6].
Ethanol (EtOH) là dung dịch bảo quản mẫu được sử dụng phổ biến nhất. Tuy nhiên, do tính chất dễ gây cháy nổ, quá trình vận chuyển và lưu trữ EtOH trong điều kiện thu mẫu thực địa gặp nhiều rủi ro [3]. Dù vậy, bởi tính tiện dụng, kinh tế và tương đối hiệu quả, nhiều nghiên cứu di truyền san hô vẫn sử dụng EtOH làm phương pháp bảo quản [7, 8, 9]. Bên cạnh đó, từ lâu các nhà khoa học đã sử dụng đệm chứa DMSO bão hoà trong muối (SSD) để bảo quản mẫu của động vật có vú, chim, cá và nhiều loài động vật không xương sống ở biển khác [3]. Gần đây, một quy trình bảo quản DNA san hô bằng dung dịch DESS (20% DMSO, 0.25M EDTA, pH 8.0 bão hoà trong NaCl) với mục tiêu nghiên cứu di truyền sinh vật cộng sinh đã được mô tả năm 2022 [10]. Tuy vậy, hiệu quả trong vai trò là dung dịch bảo quản mẫu của EtOH và dung dịch DESS chưa được đánh giá toàn diện trên san hô. Ngoài ra, phương pháp đông lạnh sâu bằng Nitơ lỏng và lưu trữ ở nhiệt độ âm sâu (-80℃) đã được sử dụng tương đối hiệu quả trong bảo quản san hô cho một số nghiên cứu phân tích DNA/RNA sinh vật cộng sinh, protein và các nghiên cứu chuyển hoá [11-13].
Quá trình tách chiết DNA san hô cứng cho mục tiêu khuếch đại và giải trình tự gen gặp nhiều thách thức do thành phần và cấu tạo phức tạp. Mô san hô chứa nhiều chất gây ức chế phản ứng PCR, bao gồm axit humic và ion Ca2+ từ bộ xương, muối, protein và các hợp chất hữu cơ khác [14-16]. Việc đồng rửa giải các chất này trong quá trình tách chiết DNA có khả năng làm giảm hiệu suất và độ nhạy của quá trình PCR, dẫn đến kết quả âm tính giả [15]. Ngoài ra, mesoglea - một lớp cấu trúc hỗ trợ chứa các sợi collagen và chất nhầy trên san hô gây cản trở cho việc tách chiết DNA bằng phương pháp cột và cũng là những tác nhân gây ức chế PCR nếu không được xử lý tốt. Sự khác biệt trong ly giải giữa tế bào san hô và sinh vật cộng sinh của quá trình tách chiết có khả năng dẫn đến sự sai lệch trong quá trình PCR. Các phương pháp ly giải xu hướng ưu tiên phá vỡ tế bào vật chủ san hô so với tế bào vi sinh vật cộng sinh làm tăng DNA sinh vật nhân thực trong dịch chiết và ngược lại [5]. Vì vậy, việc lựa chọn các phương pháp tách chiết DNA cần chú trọng đối tượng và mục tiêu của thí nghiệm. Các bộ kit tách chiết DNA thương mại cung cấp giải pháp tiện ích, chuẩn hoá để xử lý mẫu và mang lại hiệu suất cao, ổn định. Việc sử dụng các bộ kit thương mại giúp giảm thiểu sự khác biệt về mặt kỹ thuật, cho phép thực hiện so sánh có ý nghĩa giữa các nghiên cứu. Tuy nhiên, như đã được ghi nhận, không phải tất cả các chiết xuất DNA từ mô san hô đều có thể khuếch đại thành công và hiệu quả của PCR thay đổi trên các loài san hô khác nhau [14, 17]. Một số nghiên cứu đã tập trung tối ưu hoá việc tách chiết DNA cho đối tượng sinh vật cộng sinh trên san hô [5, 18, 19, 20]. Tuy nhiên, cho đến nay chưa có nghiên cứu nào được thực hiện để đánh giá hiệu quả của các bộ kit tách chiết DNA đối với mô san hô cho mục tiêu khuếch đại và giải trình tự gen vật chủ.
Trong nghiên cứu này, chúng tôi tiến hành xây dựng thí nghiệm so sánh nhằm đánh giá tính hiệu quả của các phương pháp bảo quản và ba bộ kit tách chiết DNA thương mại trong việc xử lý DNA san hô thuộc giống Acropora. Phương pháp bảo quản được áp dụng bao gồm: EtOH, dung dịch DESS và Nitơ lỏng; lưu trữ ở nhiệt độ phòng, 4℃ và -80℃ ở 2 mốc thời gian 1 ngày và 60 ngày kể từ thời điểm thu thập mẫu. Ba bộ kit thương mại bao gồm DNeasy PowerBiofilm Kit (Qiagen), DNeasy Blood & Tissue Kit (Qiagen) và Wizard® Genomic DNA Purification Kit (Promega) được sử dụng để tách chiết DNA các mẫu san hô. Đây là những bộ kit phổ biến, đã được sử dụng trong các nghiên cứu di truyền san hô trước đây [5, 11, 21-23]. Mỗi bộ sử dụng một hoặc phối hợp các cơ chế ly giải khác nhau như hoá học, enzym và cơ học để phá vỡ tế bào. Nồng độ DNA, hiệu suất khuếch đại gen, tính tiện dụng và an toàn là các chỉ tiêu được sử dụng để đánh giá mức độ hiệu quả và tối ưu cho các quá trình này.
2. VẬT LIỆU VÀ PHƯƠNG PHÁP NGHIÊN CỨU
2.1. Vật liệu
- Đối tượng nghiên cứu: 03 loài san hô thuộc giống Acropora (Bảng 1)
Bảng 1. Danh sách các mẫu san hô thuộc giống Acropora được thu thập


Hình 1. Hình ảnh tại thực địa của ba loài san hô thuộc giống Acropora được thu thập trong nghiên cứu
- Thời gian nghiên cứu: từ tháng 7/2024 đến tháng 2/2025.
2.2. Phương pháp nghiên cứu
2.2.1. Thu thập mẫu san hô
Tại mỗi địa điểm, mỗi loài tiến hành thu 7 mảnh san hô, thu lặp lại 3 lần với mỗi lần cách nhau 20-30 ngày tại cùng một vị trí. Tổng cộng 63 (7x3x3) mảnh san hô tương ứng với 03 loài (mỗi loài 21 mẫu) đã được thu thập. Đối với mỗi loài nghiên cứu, mẫu được lấy ngẫu nhiên từ các cá thể khác nhau tại cùng điểm thu thập.
Tại vị trí thu mẫu, người thực hiện thu mẫu lặn với bình dưỡng khí và sử dụng kìm để cắt thu các mảnh nhỏ san hô có chiều dài từ 3-4 cm, chuyển vào túi zip đã được đánh số. Sau đó, mẫu san hô được đưa lên khỏi mặt nước, tránh tiếp xúc trực tiếp với ánh sáng mặt trời.
2.2.2. Bảo quản mẫu
Bảng 2. Phương pháp bảo quản cho 7 mảnh san hô của từng loài sau khi thu thập

Sau khi đưa mẫu lên khỏi mặt nước, 7 mảnh san hô (tương ứng với mỗi lần thu thập) của một loài được bảo quản ngay trong các ống đã chuẩn bị sẵn theo mô tả ở Bảng 2, bao gồm: 3 ống chứa Ethanol 95%, 3 ống chứa dung dịch DESS, 1 ống đông lạnh trong Nitơ lỏng và được vận chuyển về phòng thí nghiệm trong hộp kín tối màu tránh ánh nắng mặt trời. Tiến hành tách mô Acropora khỏi bộ xương bằng phương pháp Airbrush chứa dung dịch Phosphate Buffered Saline (PBS) 1x, lực Airbrush giúp tách mô san hô ra khỏi khung xương. Phần dung dịch thu được chứa mô san hô được ly tâm ở 10.000 vòng/phút trong 10 phút để tách mô khỏi chất nhầy và tảo cộng sinh, thu phần cặn bùn chứa mô san hô. Loại bỏ lớp dịch nổi chứa chất nhầy và tảo cộng sinh bằng pipet.
Chia phần mô thu thập được ở mỗi ống thành hai lô mẫu có khối lượng bằng nhau, ký hiệu T1 và T2. Lô T1 được tách chiết DNA sau 1 ngày và lô T2 tách chiết DNA sau 60 ngày kể từ thời điểm thu mẫu. Mô san hô ở T1 và T2 sau đó được bảo quản trong điều kiện và nhiệt độ như mô tả ở Bảng 2.
Phần khung xương sau khi tách mô được bảo quản riêng trong các điều kiện tương ứng với phần mô.
2.2.3. Tách chiết DNA
Tổng 126 mẫu san hô của ba loài ở cả T1 (L1: 21 mẫu, L2: 21 mẫu, L3: 21 mẫu) và T2 (L1: 21 mẫu, L2: 21 mẫu, L3: 21 mẫu) được tiến hành tách chiết DNA bằng lần lượt ba bộ kit: DNeasy PowerBiofilm Kit (24000-50) (PB), DNeasy Blood & Tissue Kit (69504) (BT) và Wizard® Genomic DNA Purification Kit (A1120) (WG) theo quy trình từ nhà sản xuất. Mẫu đối chứng âm (không chứa mô) được thực hiện song song để phát hiện nhiễm chéo.
Nồng độ DNA sau quá trình tách chiết được định lượng bằng Máy quang phổ UVs/VIS nano (MicroDigital, Hàn Quốc) ở các bước sóng 230 nm, 260 nm và 280 nm. Độ tinh sạch của DNA được đánh giá thông qua tỷ lệ A260/280 và A260/230. Tỷ lệ A260/280 phản ánh mức độ nhiễm tạp protein/phenol với giá trị lý tưởng cho DNA ~ 1,8. Tỷ lệ A260/230 đánh giá nhiễm tạp các hợp chất hữu cơ hoà tan, muối,… và giá trị lý tưởng cho DNA ~ 2,0-2,2. Các mẫu DNA có A260/280 từ 1,7-1,9 và A260/230 từ 1,8-2,2 mới được sử dụng cho PCR và giải trình tự gen, mẫu DNA không đạt ngưỡng bị loại bỏ và tiến hành tách chiết lại. DNA sau khi tách chiết được lưu trữ ở nhiệt độ -20℃.
2.2.4. Khuếch đại DNA
Để kiểm tra ảnh hưởng của phương pháp bảo quản và tách chiết DNA mẫu san hô Acropora lên tỷ lệ thành công phản ứng PCR, tiến hành khuếch đại gen COI (*) với cặp mồi LCO1490: 5’-GGTCAACAAATCATAAAGATATTGG-3’ và HCO2198: 5’-TAAACTTCAGGGTGACCAAAAAATCA-3 [8]. Đồng thời, đối chứng âm (nước sinh học phân tử) được sử dụng để kiểm soát nhiễm chéo. Phản ứng khuếch đại gen COI được thực hiện bằng chu trình nhiệt: 94℃ trong 3 phút (1 chu kỳ); (94℃ trong 30 giây, 42℃ trong 45 giây, 72℃ trong 45 giây) x 34 chu kỳ. Thể tích phản ứng 50 µL, trong đó 5 µL DNA khuôn, 25 µL 2 × Taq Master Mix (Vazyme), 2 µL mồi LCO1490, 2 µL mồi HCO2198, 16 µL nước sinh học phân tử.
Sản phẩm PCR được kiểm tra trên gel Agarose 1,2% (Biobasic, Canada) trong đệm TBE 1x, sử dụng chất nhuộm GelRed 10.000X in Water (Biotium) và quan sát dưới ánh sáng tia cực tím để đánh giá kết quả, hiệu quả của phản ứng PCR và kiểm tra độ tinh sạch của DNA. Lựa chọn 6 sản phẩm PCR của mẫu có phương pháp bảo quản và tách chiết DNA tối ưu nhất được giải trình tự gen 2 chiều tại công ty DNA sequencing (https://www.dnasequencing.com.vn) trên hệ thống ABI PRISM 3730xl Genetic Analyzer.
(*) Lưu ý: COI là marker phổ biến trong định danh san hô. Tuy nhiên, trên đối tượng san hô cứng nói chung và giống Acropora nói riêng, gen này có tốc độ tiến hoá chậm nên chỉ đủ độ tin cậy để phân loại ở cấp độ giống, không hữu ích trong phân biệt các loài gần nhau. Vì vậy, với các ứng dụng định loài san hô thuộc giống Acropora, cần kết hợp thêm nhiều vùng gen khác.
2.2.5. Hiệu suất PCR
Quá trình khuếch đại DNA mẫu san hô được coi là thành công nếu sản phẩm khuếch đại có khả năng quan sát được với kích thước ~ 650 bp (gen COI). Các sản phẩm PCR được sau khi được quan sát trực quan trên gel Agarose và chiếu sáng bằng tia cực tím với thang DNA Hyperlader 100 (5ng.µL-1 ) (Bioline). Hiệu suất PCR được xác định dựa trên tỷ lệ mẫu được khuếch đại thành công trên tổng số mẫu được thử nghiệm.
Công thức tổng quát:

2.2.6. Phân tích kết quả
Phân tích số liệu chung sử dụng phần mềm Microsoft Excel. Kiểm tra phân phối chuẩn theo từng phương pháp bảo quản/ từng bộ kit bằng Shapiro-Wilk test. Kiểm tra tính đồng nhất phương sai bằng Levene’s test. Nếu không tuân theo phân phối chuẩn và phương sai không đồng nhất, so sánh trung vị giữa các phương pháp bảo quản/ các bộ kit tách chiết bằng Kiểm định Kruskal-Wallis. Kiểm định Dunn được sử dụng sau đó để xác định các cặp nhóm có sự khác biệt mang ý nghĩa thống kê. Kiểm định Wilcoxon được sử dụng để so sánh sự khác biệt ở thời điểm T1 và T2.
Dữ liệu của các sản phẩm PCR sau khi được giải trình tự được phân tích bằng phần mềm Sequencher 5.4.6 [24]. Trình tự thô được kiểm tra chất lượng thủ công để loại bỏ các nucleotide nhiễu ở hai đầu và hiệu chỉnh các điểm sai sót. Căn chỉnh và ghép nối trình tự xuôi và ngược thành một trình tự đồng thuận (consensus). Các vùng có tín hiệu kém, nhiễu hoặc tín hiệu nền cao được loại bỏ, chỉnh sửa thủ công với các vùng lắp ráp không chính xác. Sau khi ghép nối, các trình tự đồng thuận tiếp tục được kiểm tra bằng dịch mã nhằm phát hiện khung đọc sai (frameshift) hoặc sự xuất hiện của codon dừng sớm (stop codons). Trình tự cuối cùng sau hiệu chỉnh được xuất ra với định dạng FASTA.
3. KẾT QUẢ NGHIÊN CỨU
3.1. Đánh giá phương pháp bảo quản
Sau khi tách mô, các mẫu xương san hô được bảo quản bằng EtOH phần lớn vẫn giữ được nguyên vẹn hình thái sau 60 ngày. Ngược lại, các mẫu xương bảo quản trong dung dịch DESS có hiện tượng mềm và mất dần tính toàn vẹn. Các mẫu xương bảo quản trong Nitơ lỏng và lưu trữ ở điều kiện âm sâu trở nên giòn, dễ gãy vụn và tán nhỏ dễ dàng (Hình 2). Mặc dù tình trạng xương không ảnh hưởng đến các phân tích DNA, nhưng thí nghiệm này cho thấy dung dịch DESS và Nitơ lỏng không phù hợp cho các nghiên cứu về hình thái san hô.


Hình 2. Hình ảnh bộ xương san hô sau khi bảo quản 1 ngày (T1) và 60 ngày (T2) bằng ba phương pháp khác nhau
Kết quả phân tích nồng độ DNA thu được ở L1 (Hình 3A) cho thấy các phương pháp DESS_80 và N_80 thu được lượng DNA lớn nhất, trong khi nhóm EtOH_4 và EtOH_tn thu được kết quả thấp nhất (giá trị trung bình lần lượt là 3,58 ± 2,94 ng/µL và 3,11 ± 2,17 ng/µL). Kiểm định Kruskal-Wallis cho thấy sự khác biệt có ý nghĩa thống kê giữa các phương pháp (p < 0,05). So sánh từng cặp phương pháp cho thấy DESS_80 và N_80 khác biệt có ý nghĩa thống kê so với EtOH_4 và EtOH_tn (Dunn, p < 0,001). Kiểm định Wilcoxon so sánh sự khác biệt của từng phương pháp bảo quản theo thời gian, DESS_tn, EtOH_tn, EtOH_4, EtOH_80 có sự khác biệt có ý nghĩa thống kê giữa T1 và T2 (p < 0,05). Trong khi đó, DESS_80 và N_80 duy trì ổn định theo thời gian (p> 0,05).
Kết quả phân tích ở L2 (Hình 3B), trong đó DESS_80 thu được lượng DNA lớn nhất. Ngược lại, EtOH_tn có giá trị trung bình 4,59 ± 3,12 ng/µL. Kiểm định Kruskal-Wallis cho thấy sự khác biệt có ý nghĩa thống kê giữa các phương pháp (p < 0,05). So sánh từng cặp phương pháp, có sự khác biệt mang ý nghĩa thống kê giữa DESS_80 và N_80 với EtOH_4 và EtOH_tn (Dunn, p < 0,001). Theo thời gian, DESS_tn (Wilcoxon, p = 0,00171) và DESS_4 (Wilcoxon, p = 0,00807) có sự khác biệt giữa T1 và T2, các nhóm còn lại không có sự khác biệt đáng kể (Wilcoxon, p > 0,05).
Kết quả tương tự được ghi nhận ở L3 (Hình 3C), nồng độ DNA trung bình cao nhất từ DESS_80 và N_80, trong khi EtOH_tn có giá trị thấp nhất (4,87 ± 4,03 ng/µL). Kiểm định Kruskal-Wallis cho thấy sự khác biệt có ý nghĩa thống kê giữa các phương pháp (p < 0,05). So sánh từng cặp phương pháp cho thấy có sự khác biệt mang ý nghĩa thống kê giữa DESS_80 và N_80 với EtOH_4 và EtOH_tn (Dunn, p < 0,001), DESS_80 và N_80 không có sự khác biệt đáng kể (Dunn, p > 0,05). Kiểm định Wilcoxon cho từng phương pháp ghi nhận không có sự khác biệt theo thời gian (p > 0,05).


Hình 3. Nồng độ DNA trung bình từ các phương pháp bảo quản A) L1: A. hyacinthus B) L2: A. muricata C) L3: A. robusta
Ngoài ra, hiệu suất PCR phản ánh chất lượng DNA sau quá trình bảo quản. Ở thời điểm T1, tất cả mẫu bảo quản trong dung dịch DESS và Nitơ lỏng cho kết quả khuếch đại thành công 100%, trong khi các mẫu bảo quản trong EtOH có tỷ lệ PCR thành công thấp hơn: 88,9% (L1); 85,2% (L2) và 96,3% (L3). Tại thời điểm T2, mẫu trong dung dịch DESS có tỷ lệ PCR thành công cao (100% ở L1; 96,3% ở L2 và 81,5% ở L3); mẫu bảo quản trong EtOH giảm xuống còn 77,8% (Ll), 74,1% (L2) và 77,8% (L3). Đáng chú ý, các mẫu bảo quản trong N_80 và DESS_80 có tỷ lệ PCR 100% ở cả hai thời điểm thí nghiệm. Kết quả điện di mẫu san hô bảo quản ở các phương pháp bảo quản khác nhau trong cùng điều kiện lưu trữ -80℃ cho thấy mẫu được bảo quản trong EtOH suy giảm chất lượng sau 60 ngày. Ngược lại, mẫu trong dung dịch DESS và Nitơ lỏng cho không có sự khác biệt rõ ràng giữa hai thời điểm (Hình 4).

Hình 4. Hình ảnh điện di sản phẩm PCR mẫu lưu trữ ở -80℃ trên gel Agarose 1,2%
A. Thời điểm T1 B. Thời điểm T2
Nhìn chung, kết quả phân tích nồng độ DNA và hiệu suất PCR ở cả ba loài san hô thuộc giống Acropora cho thấy phương pháp bảo quản có ảnh hưởng đáng kể đến nồng độ DNA thu được. Trong đó, DESS_80 và N_80 cho hiệu suất bảo quản tốt nhất với số lượng và chất lượng DNA cao, ổn định theo thời gian. Ngoài ra, các mẫu khác bảo quản trong dung dịch DESS (DESS_tn, DESS_4) cho hiệu quả bảo quản trung bình. Ngược lại, các phương pháp sử dụng EtOH (EtOH_4, EtOH_80, EtOH_tn) cho hiệu suất kém hơn với nồng độ thấp và biến động lớn giữa các mốc thời gian.
3.2. Đánh giá bộ KIT tách chiết DNA
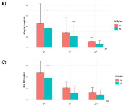
Kết quả phân tích L1 cho thấy (Hình 5A) bộ kit PB cho nồng độ DNA trung bình cao nhất (41,1 ± 35,3ng/µL), BT có giá trị trung bình thấp hơn (26,3 ± 27,7 ng/µL). Ngược lại, WG thu được kết quả DNA thấp hơn rõ rệt so với hai bộ kit còn lại (8,67 ± 7,24 ng/µL), khác biệt có ý nghĩa thống kê (Kruskal-Wallis và Dunn, p < 0,05). So sánh nồng độ DNA giữa hai thời điểm T1 và T2, PB và BT không có sự khác biệt đáng kể (Wilcoxon, p > 0,05), trong khi mẫu tách bằng WG có sự khác biệt mang ý nghĩa thống kê (Wilcoxon, p< 0,05).
Kết quả nồng độ DNA trung bình L2 (Hình 5B) được ghi nhận cao nhất từ PB (39 ± 33,5 ng/µL), BT có với giá trị trung bình thấp hơn (21,4 ± 17,7 ng/µL) và WG cho kết quả thấp hơn rõ rệt (9,74 ± 7,31 ng/µL), khác biệt có ý nghĩa thống kê (Kruskal-Wallis và Dunn, p < 0,05). So sánh sự khác biệt nồng độ DNA giữa thời điểm T1 và T2, kết quả mẫu tách từ PB và BT không có sự khác biệt đáng kể (Wilcoxon, p > 0,05), trong khi đó mẫu tách bằng WG ghi nhận có sự khác biệt mang ý nghĩa thống kê (Wilcoxon, p < 0,05).
Kết quả nồng độ DNA trung bình ở L3 (Hình 5C) cao nhất từ PB (21,5 ± 10,6 ng/µL), BT được ghi nhận thấp hơn (9,20 ± 5,78 ng/µL) và WG có giá trị thấp nhất (5,27 ± 4,53), khác biệt mang ý nghĩa thống kê (Kruskal-Wallis và Dunn, p < 0,05). So sánh sự khác biệt nồng độ DNA giữa thời điểm T1 và T2, kết quả mẫu tách từ PB không có sự khác biệt đáng kể (Wilcoxon, p > 0,05). Ngược lại, mẫu tách bằng BT và WG có sự khác biệt mang ý nghĩa thống kê theo thời gian (Wilcoxon, p < 0,05).


Hình 5. Nồng độ DNA trung bình từ các bộ kit tách chiết.
A) L1: A. hyacinthus B) L2: A. muricata C) L3: A. robusta
Bảng 3. Hiệu suất PCR của các bộ kit tách chiết theo thời gian

Về hiệu suất PCR, sản phẩm tách chiết từ PB đạt tỷ lệ khuếch đại thành công 100% ở cả hai thời điểm. Dữ liệu giải trình tự gen mẫu từ PB có tín hiệu rõ nét, không bị nhiễu và các đồ thị tín hiệu đặc trưng (Hình 6). Tương tự như vậy, hiệu quả của BT tương đối tốt với hiệu suất dao động 95,23%-100%. Ngược lại, mẫu tách chiết từ WG có hiệu suất thấp hơn, dao động từ 85,51%-95,23% ở T1 và giảm mạnh sau 60 ngày (52,38%-71,43% ở T2). Đáng chú ý, L3 (Acropora robusta) với lượng chất nhầy cao hơn hẳn so với 2 loài còn lại khiến WG kém hiệu quả hơn, giảm từ 95,23% (T1) xuống chỉ còn 52,38% (T2) (Bảng 3).
Như vậy,DNeasy PowerBiofilm Kit (PB) là bộ kit mang lại hiệu quả tách chiết cao và ổn định trong vòng ít nhất 60 ngày cho san hô thuộc giống Acropora. Ngoài ra, với những mẫu tươi không cần thời gian lưu trữ dài, DNeasy Blood and Tissue Kits (BT) là một phương pháp tách chiết thay thế tương đối hiệu quả.


Hình 6. Tín hiệu trình tự mạch xuôi của ba loài san hô trên vùng gen COI
4. THẢO LUẬN
Gaither và cộng sự (2011) chỉ ra rằng việc bảo quản mô san hô trong dung dịch DMSO bão hòa muối giúp duy trì chất lượng DNA tốt hơn và tăng hiệu quả phản ứng PCR so với bảo quản bằng ethanol 95% [3]. Nghiên cứu của Vega Thurber và cộng sự (2022) ghi nhận rằng Nitơ lỏng và dung dịch muối chứa DMSO lưu trữ ở nhiệt độ âm sâu là những phương pháp bảo quản hiệu quả nhất đối với các nghiên cứu DNA ở san hô [13]. Năm 2022, Voolstra và cộng sự đã công bố quy trình bảo quản mẫu san hô bằng dung dịch DESS, kết hợp với tách chiết DNA bằng hai bộ kit thương mại là DNeasy Blood & Tissue Kit (Qiagen) và QIAamp DNA Microbiome Kit (Qiagen). Quy trình này được thiết kế nhằm phục vụ cả mục tiêu giải trình tự nhắm vào vật chủ lẫn phân tích metagenomic, và đã được áp dụng trên các loài san hô thuộc các giống Acropora, Pocillopora và Porites. Tuy nhiên, cho đến nay vẫn chưa có nghiên cứu nào đánh giá một cách hệ thống hiệu suất và hiệu quả của quy trình này so với các phương pháp bảo quản và tách chiết DNA khác ở san hô [25]. Như vậy, kết quả trong nghiên cứu tương đồng với các công bố trước đây, điều này cho thấy sự nhất quán trong các điều kiện nghiên cứu khác nhau. Ngoài ra, nghiên cứu của chúng tôi đã mở rộng đánh giá đồng thời ảnh hưởng của điều kiện lưu trữ và thời gian lên chất lượng DNA của ba loài san hô thuộc giống Acropora, đồng thời xác định thời gian bảo quản ổn định ít nhất 60 ngày.
Các yếu tố như thời gian, dung dịch bảo quản và điều kiện lưu trữ mẫu san hô đều có ảnh hưởng đến số lượng và chất lượng DNA thu được. Bảo quản trong dung dịch DESS hoặc Nitơ lỏng ở thực địa kết hợp lưu trữ ở -80℃ trong phòng thí nghiệm là hai phương pháp tối ưu, cho lượng DNA lớn nhất và ổn định trong vòng ít nhất 60 ngày mà không ảnh hưởng đến chất lượng thí nghiệm. Điều này thể hiện nhất quán trên cả ba loài san hô thí nghiệm. Trên thực tế, trong điều kiện thu thập mẫu san hô tại thực địa trên biển, dung dịch DESS là phương pháp phù hợp hơn bởi dễ dàng vận chuyển, lưu trữ và tương đối an toàn. Trong khi đó, Nitơ lỏng thường gặp khó khăn khi vận chuyển và thu thập mẫu dài ngày, có nguy cơ gây bỏng lạnh nếu xảy ra sự cố trong thao tác. Ngoài ra, với những mẫu chỉ cần lưu trữ ngắn hạn, sử dụng dung dịch DESS và lưu trữ trong nhiệt độ phòng hoặc 4℃ đều không gây ảnh hưởng đến chất lượng thí nghiệm.
Năm 2017, Weber và cộng sự đã thực hiện nghiên cứu tối ưu hoá tách chiết DNA với mục tiêu nghiên cứu hệ vi sinh vật trên san hô. Nhóm tác giả đã thiết kế thí nghiệm tách chiết DNA tổng số từ bảy loài san hô (bao gồm cả Acropora humilis) bằng bốn bộ kit tách chiết thương mại từ hãng Qiagen: PowerSoil®, PowerPlant® Pro, PowerBiofilm® và UltraClean® Tissue & Cells. Hiệu suất tách chiết của các bộ kit được đánh giá thông qua định lượng DNA và hiệu quả khuếch đại các gen. Kết quả ghi nhận DNA được tách chiết từ bộ kit PowerBiofilm® và UltraClean® cho hiệu suất tách chiết tốt hơn [5]. Tuy nhiên, nghiên cứu này tập trung vào DNA hệ vi sinh vật cộng sinh, trong khi hiệu quả tách chiết DNA của vật chủ san hô chưa được đề cập cụ thể. Cho đến thời điểm hiện tại, vẫn còn thiếu các nghiên cứu hệ thống nhằm đánh giá hiệu quả của các bộ kit tách chiết DNA trong nghiên cứu trực tiếp trên vật chủ san hô, đặc biệt là đối với mục tiêu phân tích di truyền và giải trình tự gen. Trong bối cảnh đó, kết quả nghiên cứu của chúng tôi đã cung cấp thông tin và đánh giá bộ kit tối ưu nhất cho quá trình tách chiết DNA với mục tiêu giải trình tự gen. Đồng thời, kết hợp với việc đánh giá phương pháp bảo quản, mang đến giải pháp đồng bộ cho quá trình xử lý mẫu để thu thập vật chất di truyền. Trong đó, DNeasy PowerBiofilm Kit (PB) là bộ kit mang lại hiệu quả tách chiết cao và ổn định trong vòng ít nhất 60 ngày cho san hô thuộc giống Acropora, đồng thời có khả năng xử lý tốt cả những mẫu san hô có lượng chất nhầy lớn. PB sử dụng công nghệ cơ học đập hạt (Bead-beating) kết hợp hoá học (dung dịch ly giải chứa enzym) để ly giải tế bào nhờ đó rút ngắn thời gian ủ mẫu (3-4 giờ) so với các bộ kit còn lại. Inhibitor Removal Technology (IRT) trong PB có tác dụng hiệu quả trong việc loại bỏ các chất ức chế trên san hô.
Nghiên cứu của chúng tôi còn hạn chế về phạm vi loài và thời gian bảo quản dài hạn hơn, do đó chưa đánh giá đầy đủ mức độ suy giảm DNA sau nhiều năm lưu trữ. Tuy nhiên, việc lựa chọn ba loài san hô có đặc điểm sinh học khác nhau đã giúp làm rõ ảnh hưởng của chất nhầy và một số yếu tố môi trường đến hiệu suất bảo quản và tách chiết DNA. Đồng thời, kết quả nghiên cứu cung cấp cơ sở khoa học để định hướng lựa chọn phương pháp bảo quản phù hợp cho các nghiên cứu có yêu cầu lưu trữ mẫu trong thời gian dài.
5. KẾT LUẬN
Phương pháp bảo quản bằng dung dịch DESS và Nitơ lỏng kết hợp lưu trữ ở -80℃ được xác định là hai phương pháp hiệu quả và tối ưu trong việc duy trì chất lượng DNA ổn định theo thời gian. Trong đó, dung dịch DESS được đánh giá là phương pháp bảo quản phù hợp nhất với san hô Acropora bởi tính tiện dụng và an toàn trong quá trình thu thập mẫu ở thực địa.
Bộ kit DNeasy PowerBiofilm Kit (PB) (Qiagen) cho thấy hiệu suất tách chiết DNA cao và ổn định, cung cấp nguồn DNA đầu vào chất lượng tốt cho phản ứng PCR và giải trình tự gen, do đó là lựa chọn tối ưu cho các nghiên cứu di truyền san hô thuộc giống Acropora. Bên cạnh đó, bộ kit DNeasy Blood and Tissue Kits (BT) (Qiagen) có thể được sử dụng như một phương án thay thế hiệu quả khi xử lý mẫu tươi hoặc mẫu lưu trữ ngắn hạn. Ngược lại, bộ kit Wizard® Genomic DNA Purification (WG) cho hiệu suất tách chiết thấp, đặc biệt với mẫu có hàm lượng chất nhầy cao và bảo quản dài hạn, do đó không được khuyến nghị sử dụng trong nghiên cứu trên san hô (Acropora).
Để tăng cường độ tin cậy và tính khái quát của kết quả, các nghiên cứu tiếp theo nên mở rộng phạm vi loài, khu vực địa lý và thời gian bảo quản, đồng thời tích hợp đánh giá định lượng chất lượng DNA theo thời gian. Những dữ liệu này sẽ góp phần hoàn thiện các quy trình bảo quản và tách chiết DNA, phục vụ hiệu quả cho các mục tiêu nghiên cứu di truyền và bảo tồn đa dạng sinh học ở san hô cứng.
Lời cảm ơn:Nghiên cứu này là một phần kết quả từ nhiệm vụ cấp cơ sở Trung tâm Nhiệt đới Việt - Nga: “Nghiên cứu giải trình tự gen một số loài san hô thuộc giống Acropora thu thập tại vịnh Nha Trang”, mã số VB.N2.06/24.
Tuyên bố về đóng góp của tác giả: Hoàng Thị Ngọc Anh: Thực hiện toàn bộ quá trình viết bản thảo, chỉnh sửa bản thảo. Trần Đức Diễn: Thực hiện thu thập mẫu nghiên cứu. Nguyễn Trịnh Đức Hiệu: Thực hiện xử lý số liệu. Lê Thị Kiều Oanh và Võ Thị Hà: Rà soát và chỉnh sửa bản thảo.
Tuyên bố về xung đợt lợi ích: Các tác giả tuyên bố không có xung đột lợi ích liên quan đến nghiên cứu này.
Tài liệu tham khảo
2. C. C. Wallace, Staghorn corals of the World: A revision of the coral genus Acropora (Scleractinia; Astrocoeniina; Acroporidae) worldwide, with emphasis on morphology, Phylogeny and Biogeography. Csiro Publishing.
3. M. R. Gaither, Z. Szabó, M. W. Crepeau, C. E. Bird and R. J. Toonen, Preservation of corals in salt-saturated DMSO buffer is superior to ethanol for PCR experiments, Coral Reefs, Vol. 30, No. 2, pp. 329-333, 2011. DOI: 10.1007/s00338-010-0687-1
4. A. T. Banaszak, Optimization of DNA extraction from a scleractinian coral for the detection of thymine dimers by immunoassay, Photochemistry and Photobiology, Vol. 83, No. 4, pp. 833-838, 2007. DOI: 10.1111/j.17511097.2007.00083.x
5. L. Weber, E. DeForce and A. Apprill, Optimization of DNA extraction for advancing coral microbiota investigations, Microbiome, Vol. 5, No. 1, p. 18, 2017. DOI: 10.1186/s40168-017-0229-y
6. M. N. Dawson, K. A. Raskoff and D. K. Jacobs, Field preservation of marine invertebrate tissue for DNA analyses, Molecular Marine Biology and Biotechnology, Vol. 7, No. 2, pp. 145-152, 1998.
7. G. G. Shimpi, N. P. Patel and S. Haldar, Molecular species delimitation of reef-building coral genera, Porites and Turbinaria (Anthozoa: Scleractinia), from the intertidal fringing reefs of Gulf of Kutch, India reveals unrecognized diversity, Systematics and Biodiversity, Vol. 17, No. 6, pp. 541-557, 2019. DOI: 10.1080/14772000.2019.1677798
8. D. Wijayanti, E. Indrayanti, H. Nuryadi, R. Dewi and A. Sabdono, Molecular identification and genetic diversity of Acropora hyacinthus from Boo and Deer Island, Raja Ampat, West Papua, IOP Conference Series: Earth and Environmental Science, Vol. 116, p. 12065, 2018. DOI: 10.1088/1755-1315/116/1/012065
9. D. Wijayanti, E. Indrayanti, H. Nuryadi, S. A. Rintiantono and A. Sabdono, DNA barcode of Acropora hyacinthus of Karimunjawa Archipelago, IOP Conference Series: Earth and Environmental Science, Vol. 139, No. 1, p. 012017, 2018. DOI: 10.1088/1755-1315/139/1/012017
10. C. R. Voolstra, G. Perna, A. Cárdenas, L. Colin, M. S. Dörr and A. Fiesinger, DNA preservation & DNA extraction protocol for field collection of coral samples suitable for host-, marker gene-, and metagenomics-based sequencing approaches. DOI: 10.5281/zenodo.6962735
11. A. Hernandez-Agreda, W. Leggat and T. D. Ainsworth, A Comparative analysis of microbial DNA preparation methods for use with massive and branching coral growth forms, Frontiers in Microbiology, Vol. 9, 2018. DOI: 10.3389/fmicb.2018.02146
12. K. H. Tisthammer, E. Timmins-Schiffman, F. O. Seneca, B. L. Nunn and R. H. Richmond, Physiological and molecular responses of lobe coral indicate nearshore adaptations to anthropogenic stressors, Scientific Reports, Vol. 11, No. 1, p. 3423, 2021. DOI: /10.1038/s41598-021-82569-7
13. Vega Thurber et al., Unified methods in collecting, preserving, and archiving coral bleaching and restoration specimens to increase sample utility and interdisciplinary collaboration, PeerJ, Vol. 10, p. e14176, 2022. DOI: 10.7717/peerj.14176
14. D. G. Bourne, C. B. Munn, Diversity of bacteria associated with the coral Pocillopora damicornis from the Great Barrier Reef, Environmental Microbiology, Vol. 7, No. 8, pp. 1162-1174, 2005. DOI: 10.1111/j.1462-2920.2005.00793.x
15. C. Schrader, A. Schielke, L. Ellerbroek and R. Johne, PCR inhibitors - occurrence, properties and removal, Journal of Applied Microbiology, Vol. 113, No. 5, pp. 1014-1026, 2012. DOI: 10.1111/j.1365-2672.2012.05384.x
16. S. Sunagawa et al., Bacterial diversity and White Plague Disease-associated community changes in the Caribbean coral Montastraea faveolate, The ISME journal, Vol. 3, pp. 512-521, 2009. DOI: 10.1038/ismej.2008.131
17. C. A. Kellogg et al., Comparing bacterial community composition of healthy and dark spot-affected Siderastrea siderea in Florida and the Caribbean, PloS One, Vol. 9, No. 10, p. E108767, 2014. DOI: 10.1371/journal.pone.0108767.
18. R. Sekar, D. K. Mills, E. R. Remily, J. D. Voss and L. L. Richardson, Microbial communities in the surface mucopolysaccharide layer and the black band microbial mat of black band-diseased Siderastrea sidereal, Applied and Environmental Microbiology, Vol. 72, No. 9, pp. 5963-5973, 2006. DOI: 10.1128/AEM.00843-06
19. S. Sunagawa, C. M. Woodley and M. Medina, Threatened corals provide underexplored microbial habitats, PloS One, Vol. 5, No. 3, p. E9554, 2010. DOI: 10.1371/journal.pone.0009554
20. L. Weber, E. DeForce and A. Apprill, Optimization of DNA extraction for advancing coral microbiota investigations, Microbiome, Vol. 5, No. 1, p. 18, 2017. DOI: 10.1186/s40168-017-0229-y
21. Z. A. Pratte, C. A. Kellogg, Comparison of preservation and extraction methods on five taxonomically disparate coral microbiomes, Frontiers in Marine Science, Vol. 8, 2021. DOI: 10.3389/fmars.2021.684161
22. N. L. Rosser, L. Thomas, S. Stankowski, Z. T. Richards, W. J. Kennington and M. S. Johnson, Phylogenomics provides new insight into evolutionary relationships and genealogical discordance in the reef-building coral genus Acropora, Proceedings of the Royal Society B: Biological Sciences, Vol. 284, No. 1846, p. 20162182. DOI: 10.1098/rspb.2016.2182
23. F. Tong, L. Zhang, P. M. Chen and W. J. Chen, Molecular taxonomy and diversity of symbiodinium spp. based on 28S rDNA sequences within 15 coral species in Daao Bay, Shenzhen, IOP Conference Series: Materials Science and Engineering, Vol. 392, No. 4, p. 042033, 2018. DOI: 10.1088/1757-899X/392/4/042033
24. Gene Codes Corporation, Sequencher version 5.4.6 DNA sequence analysis software. Ann Arbor, MI, USA, 2016.
25. C. R. Voolstra, G. Perna, A. Cárdenas, L. Colin, M. S. Dörr and A. Fiesinger, DNA preservation & DNA extraction protocol for field collection of coral samples suitable for host-, marker gene-, and metagenomics-based sequencing approaches, 2022. DOI: 10.5281/zenodo.6962735