NGHIÊN CỨU CHIẾT TÁCH ANTHOCYANINS TỪ RAU CỦ QUẢ VÀ ỨNG DỤNG LÀM CHẤT CHỈ THỊ TRONG MÀNG CHỈ THỊ pH CHO THỰC PHẨM
Khoa Hóa học, Trường Đại học Khoa học Tự nhiên, Đại học Quốc gia Hà Nội
19 Lê Thánh Tông, phường Phan Chu Trinh, Hà Nội
Số điện thoại: 0982 384 588; Email: m.t.n.pham@gmail.com
Nội dung chính của bài viết
Tóm tắt (Abstract)
Anthocyanins là hợp chất flavonoid có khả năng cảm biến pH, an toàn cho sức khỏe và được ứng dụng trong chỉ thị độ tươi của thực phẩm. Anthocyanins trong bắp cải tím có sự thay đổi màu sắc rõ rệt nhất trong khoảng pH 6-7, khoảng phù hợp để phát hiện sự hư hỏng của thịt. Hàm lượng anthocyanins tách từ bắp cải tím phụ thuộc vào dung môi, tỷ lệ thể tích dung môi chiết/ khối lượng bắp cải tím, thời gian và nhiệt độ chiết, hàm lượng đạt giá trị cực đại là 178,93 ± 5,37 mg/L khi chiết bằng nước với tỷ lệ dung môi/bắp cải tím là 5/1, ở 70°C trong 50 phút. Sự thay đổi màu sắc được thể hiện qua phổ UV-Vis. Màng chỉ thị phân hủy hoàn toàn, ứng dụng cao trong lĩnh vực thực phẩm được chế tạo từ các nguyên liệu tự nhiên, rẻ tiền như nanocellulose, carboxymethyl cellulose (CMC) (tách từ nguồn phụ phẩm vỏ chanh leo) và anthocyanins chiết xuất từ bắp cải tím được ứng dụng để đánh giá độ tươi của thịt lợn. Kết quả cho thấy màng có độ nhạy cao với pH, màng bắt đầu đổi màu báo hiệu sự hư hỏng của thịt sau 12 giờ ở nhiệt độ phòng (25ºC) và 4 ngày ở nhiệt độ lạnh (4ºC), khẳng định tiềm năng ứng dụng của màng trong kiểm soát chất lượng thực phẩm.
Abstract
STUDY ON THE EXTRACTION OF ANTHOCYANINS FROM FRUITS AND VEGETABLES AND THEIR APPLICATION AS pH INDICATOR FILMS FOR FOOD
Anthocyanins are flavonoid compounds with pH-sensing capability, safe for human health, and widely used as natural indicators for food freshness. Anthocyanins extracted from red cabbage show the most distinct color transition in the pH range of 6-7, which is suitable for detecting meat spoilage. The anthocyanins yield from red cabbage depends on the solvent type, solvent-to-material ratio, extraction time, and temperature. The maximum yield (178.93 ± 5.37 mg/L) was obtained using water as a solvent at a 5:1 (v/w) ratio, 70°C, and 50 minutes. The color change behavior was confirmed by UV-Vis spectroscopy. A fully biodegradable pH-sensing film was developed using natural and low-cost materials, including nanocellulose, carboxymethyl cellulose (CMC) derived from passion fruit peel waste, and anthocyanins extracted from red cabbage. The film was applied to monitor pork freshness. Results showed that the film exhibited high pH sensitivity, with noticeable color changes indicating meat spoilage after 12 hours at room temperature (25°C) and after 4 days under refrigerated conditions (4°C), demonstrating its strong potential for use in food quality monitoring
Từ khóa (Keywords)
Anthocyanins, màng chỉ thị, rau củ quả, bắp cải tím, vỏ chanh leo, indicator film, fruits and vegetables, red cabbage, passion fruit peel
Chi tiết bài viết

Bài báo này được cấp phép theo Creative Commons Attribution 4.0 International License.
- Điểm nổi bật:
Chiết thành công anthocyanins từ các loại rau củ quả.
Quy trình chiết anthocyanins từ bắp cải tím đơn giản cho hàm lượng anthocyanins cao.
Ứng dụng anthocyanins là chất chỉ thị trong màng chỉ thị pH để chỉ thị độ tươi của thịt lợn.
Tất cả các nguồn nguyên liệu chế tạo màng đều từ nguồn gốc tự nhiên, rẻ tiền, có khả năng phân huỷ sinh học hoàn toàn.
Màng chỉ thị có độ nhạy cao với pH khi thực phẩm phân huỷ.
1. ĐẶT VẤN ĐỀ
Ngày nay, vấn đề về an toàn và chất lượng thực phẩm ngày càng được chú trọng hơn do ảnh hưởng sâu rộng và trực tiếp đến sức khoẻ của người tiêu dùng. Trong quá trình lưu trữ, vận chuyển và tiêu thụ, thực phẩm dễ bị tác động bới các yếu tố môi trường, nhiệt độ, vi khuẩn, ... làm giảm độ tươi và chất lượng. Theo các báo cáo hàng năm, lãng phí thực phẩm gây ra tổn thất kinh tế trực tiếp lên đến khoảng 1 nghìn tỷ USD [1]. Chính vì vậy, việc tìm kiếm giải pháp cung cấp thông tin chính xác về độ tươi và thời gian bảo quản thực phẩm, giúp nhà cung cấp và người tiêu dùng tối ưu hoá việc sử dụng, đang thu hút được nhiều nghiên cứu.
Màng bọc thực phẩm đóng vai trò quan trọng trong ngành thực phẩm, giúp bảo vệ sản phẩm khỏi bụi bẩn và duy trì chất lượng. Tuy nhiên, các loại màng bọc truyền thống hiện nay chủ yếu được làm từ nhựa hoặc dầu mỏ, khó phân huỷ sinh học, gây ô nhiễm môi trường. Hơn nữa, chúng cũng không có khả năng cung cấp thông tin về độ tươi của thực phẩm hay kéo dài thời gian bảo quản cho sản phẩm một cách hiệu quả.
Hiện nay, một số nghiên cứu đã chỉ ra tiềm năng ứng dụng của các chất chỉ thị pH từ tự nhiên trong màng bảo quản thực phẩm, nhờ vào tính an toàn, dễ dàng chuẩn bị và không gây ô nhiễm môi trường [2, 3]. Trong các chất chỉ thị tự nhiên, athocyanins đặc biệt được chú ý nhờ khả năng phản ứng nhạy với các khoảng pH khác nhau. Ứng dụng của anthocyanins được chiết xuất từ quả việt quất và nho trong lĩnh vực chỉ thị pH trong màng bảo quản thực phẩm cũng đã được nghiên cứu [4, 5].
Anthocyanins là một nhóm hợp chất flavonoid, thuộc họ flavonoids, chịu trách nhiệm tạo nên sự đa dạng màu sắc từ hồng, đỏ, tím cho đến xanh đậm trong các loại thực phẩm như khoai lang tím, hoa đậu biếc, bắp cải tím,…[6]. Do sở hữu các liên kết giữa anthocyanidin và nhóm đường tạo nên các glycoside flavonoid, đồng thời là các phân tử phân cực nhờ chứa nhiều nhóm hydroxyl, nhờ đó mà anthocyanins dễ dàng hòa tan trong nước và các dung môi phân cực [7]. Độ ổn định của anthocyanins bị ảnh hưởng bởi một số yếu tố như pH, nhiệt độ và ánh sáng [8]. Trong tự nhiên, anthocyanins tồn tại dưới 6 dạng chính (Hình 1): Pelargonidin có màu đỏ cam chủ yếu tìm thấy trong quả dâu tây và các loại quả đỏ, cyanidin màu đỏ được tìm thấy trong quả mâm xôi, delphinidin có màu xanh dương thường có trong quả nho, malvidin có màu tím ở rượu vang và cuối cùng là peonidin có màu đỏ tím thường có trong quả việt quất [9].

Hình1: Công thức cấu tạo của 6 loại anthocyanins [10].
Anthocyanins được coi là chất chỉ thị pH tự nhiên, an toàn và lành tính đối với sức khoẻ của con người. Trong môi trường axit hoặc kiềm, nhóm phenolic (-OH) trong phân tử có thể bị proton hoá hoặc deproton hoá, tạo thành một ion dương hoặc ion âm và làm thay đổi điện tích và cấu trúc điện tử của phân tử (Hình 2). Sự thay đổi này tác động đến các mức năng lượng của các orbital điện tử. Trong môi trường axit, anthocyanins hấp thụ ánh sáng trong vùng quang phổ xanh lam-xanh lục (khoảng 450-560 nm), tạo ra màu đỏ. Ngược lại, trong môi trường kiềm, anthocyanins hấp thụ ánh sáng ở bước sóng dài hơn, trong vùng quang phổ vàng cam (khoảng 570-620 nm) và có màu tím xanh [11] .

Hình 2: Cơ chế đổi màu của anthocyanins trong các môi trường pH khác nhau.
Theo Gao, Zhang và cộng sự, pH cuối cùng của thịt được xử lý đúng cách sẽ ổn định trong khoảng từ 5,8 đến 6,3, và nếu vượt quá 6,7 thì được coi là đã bị hỏng [12]. Trong quá trình này, các vi khuẩn phân huỷ protein và lipit trong thịt, giải phóng các amino acid và sản phẩm phân huỷ khác. Một số loại vi khuẩn tạo ra amoniac (NH3) và các hợp chất kiềm khác từ sự phân huỷ amino acid, làm tăng pH của thịt và khiến môi trường trở nên kiềm hơn [12]. Theo Yanli Ma và các cộng sự, thí nghiệm đã xác định tổng nito bazo bay hơi (TVB-N) và tổng số vi sinh vật hiếu khí sống (TVC) trong 10 g thịt lợn. Giá trị TVB-N của thịt lợn tăng dần từ 5,53 lên 12,96 mg/100 g trong vòng 11 ngày bảo quản, cho thấy sự hình thành các hợp chất nitơ bay hơi trong thịt. Sự thay đổi của pH và TVC có xu hướng tương tự với TVB-N, lần lượt tăng từ 6,08 và 5,00 (log CFU/g) lên 7,39 và 6,32 (log CFU/g) [13]. Do đó, mục tiêu của nghiên cứu là tìm các nguồn nguyên liệu tự nhiên như khoai lang tím, hoa đậu biếc, lá nếp cẩm, củ dền, vỏ thanh long, quả sim chín và bắp cải tím để chiết xuất anthocyanins có khả năng thay đổi màu sắc rõ rệt trong khoảng pH này. Sau đó sẽ kết hợp anthocyanins chiết xuất được cùng nanocellulose và carboxymethyl cellulose (CMC) tách từ vỏ chanh leo để chế tạo màng chỉ thị thực phẩm có nguồn gốc hoàn toàn từ tự nhiên, phân hủy hoàn toàn, giá thành rẻ và có tiềm năng ứng dụng trong việc chỉ thị độ tươi của thịt.
2. VẬT LIỆU VÀ PHƯƠNG PHÁP NGHIÊN CỨU
2.1. Vật liệu
Các hóa chất tinh khiết phân tích: nitric acid (HNO3) 65% (Xilong - Trung Quốc), monochloroacetic acid (MCA) 99,7% (UK), citric acid (C6H8O7) 99,5% (Xilong- Trung Quốc), sorbitol (C6H14O6) 75% (Xilong- Trung Quốc) and sodium hydroxide (NaOH) 99,9% (Xilong- Trung Quốc).
Các nguồn nguyên liệu: Khoai lang tím, hoa đậu biếc, lá nếp cẩm, củ dền, vỏ thanh long, quả sim chín và bắp cải tím, ... được mua ở siêu thị, đảm bảo các loại rau củ quả còn tươi.
2.2. Phương pháp nghiên cứu
2.2.1. Thiết bị
Độ hấp thụ của dung dịch anthocyanins ở các pH khác nhau, dung dịch anthocyanins, dung dịch màng chỉ thị, dung dịch màng CMC được đo bằng máy quang phổ hấp thụ phân tử UV-Vis 1601 PC-Shimadzu (Nhật Bản), với bước sóng làm việc từ 400-700 nm và cuvet có chiều dày 1 cm.
Máy đo pH/nhiệt độ để bàn Hanna (Mỹ).
Máy đo màu Lutron RGB-1002 (Taiwan).
2.2.2. Qui trình chiết tách anthocyanins từ rau củ quả
Rau, củ quả, được rửa sạch, xay nhỏ bằng máy say sinh tố. 1 g nguyên liệu được chiết trong dung môi ethanol/nước ở các tỷ lệ khác nhau, trong thời gian từ 30 đến 50 phút, nhiệt độ thay đổi từ 30°C đến 90°C. Dung dịch anthocyanins được lọc bằng giấy lọc và để nguội đến nhiệt độ phòng (25°C). Lấy 1 mL anthocyanins thêm vào 4 mL dung dịch các dung dịch pH khác nhau để quan sát màu sắc và tính hàm lượng.
Hàm lượng anthocyanins (mg/L) được tính theo phương pháp pH vi sai.
2.2.3. Phương pháp pH vi sai để tính hàm lượng của anthocyanins (TCVN 11028:2015)
Hàm lượng anthocyanins được tính theo công thức pH vi sai:

Trong đó: A: Độ hấp thụ của anthocyanins với A = (Aλvis max– A700 nm)pH 1,0 – (Aλvis max – A700 nm)pH 4,5, MW = 449,2 g/mol là khối lượng phân tử của cyanidin-3-glucosdie, DF là độ pha loãng; l là bề dày cuvet (cm); e = 26900 là hệ số hấp thụ phân tử của cyanidin-3-glucosdie (1mol-1.cm-1).
2.2.4. Chế tạo màng chỉ thị pH
1 g CMC được hoà tan trong 15 mL H2O ở 70°C trong vòng 30 phút, sau đó bổ sung nanocellulose với nồng độ 6% phần khối lượng, khuấy liên tục trong vòng 30 phút nữa. Thêm acid citric 1% (so với khối lượng dung dịch), thực hiện phản ứng trong 1 giờ. Tiếp theo, thêm dung dịch sorbitol 10% khuấy liên tục trong vòng 30 phút. Để nguội dung dịch và thêm tiếp 10 mL dung dịch anothocyanins vào hỗn hợp. Đổ dung dịch tạo màng ra đĩa petri nhựa đường kính 8 cm, mỗi lần đổ 25 mL/đĩa petri. Quan sát, chú ý dung dịch phải phủ kín bề mặt đĩa, không có bọt và cặn rồi sấy trong tủ sấy ở 60°C.
2.2.5. Quy trình khảo sát độ bền màu của màng
Màng chỉ thị pH được cắt theo kích thước 2x2 cm và được bảo quản ở nhiệt độ phòng và trong điều kiện lạnh 4ºC. Khảo sát màu sắc của màng sau mỗi 24 giờ bằng máy đo màu Lutron RGB-1002 (Taiwan) trong vòng 10 ngày. Mức độ thay đổi màu sắc (S%) của màng được tính toán theo công thức [14] :

Trong đó: R0, G0, B0, là các giá trị màu ban đầu
R, G, B là các giá trị màu sau các khoảng thời gian khác nhau
2.2.6. Quy trình khảo sát pH của mẫu thực
5 mẫu thịt lợn, mỗi mẫu 10 g được rửa sạch, sau các khoảng thời gian cố định (mỗi 12 giờ ở nhiệt độ phòng và sau mỗi ngày ở nhiệt độ 4ºC), mẫu thịt được say cùng 90 mL nước cất. Hỗn hợp sau đó được lọc qua giấy lọc và đo pH của dung dịch [15].
3. KẾT QUẢ
3.1. Tối ưu các điều kiện chiết anthocyanins
3.1.1. Lựa chọn nguyên liệu để chiết anthocyanins

Hình 3: Anthocyanins chiết từ các loại rau, củ, quả khác nhau trong các môi trường pH khác nhau.
3.1.2. Khảo sát các yếu tố ảnh hưởng đến hàm lượng anthocyanins trong dịch chiết bắp cải tím


Hình 4: Khảo sát các yếu tố ảnh hưởng đến hàm lượng anthocyanins trong dịch chiết bắp cải tím (a) dung môi chiết; (b) tỷ lệ dung môi/khối lượng bắp cải tím; (c) thời gian chiết; (d) nhiệt độ chiết.
3.1.3. Phổ hấp thụ phân tử UV-Vis của dung dịch anthocyanins và sự phụ thuộc của pH vào tỷ lệ độ hấp thụ tại 605 nm và 522 nm của dung dịch anthocyanins trong bắp cải tím ở các pH khác nhau

Hình 5: (a) Phổ hấp thụ phân tử UV-Vis; (b) Sự phụ thuộc của pH vào tỷ lệ độ hấp thụ tại 605 nm và 522 nm của dung dịch anthocyanins chiết từ bắp cải tím ở các pH khác nhau.
3.2. Màng chỉ thị anthocyanins và ứng dụng trong chỉ thị độ tươi của thịt lợn
3.2.1. Đặc trưng quang học của màng anthocyanins

Hình 6: (a) Phổ hấp thụ phân tử của dung dịch anthocyanins, dung dịch màng chỉ thị, dung dịch màng không có chất chỉ thị, (b) Màng chỉ thị pH trong các dung dịch pH khác nhau.
3.2.2. Độ ổn định màu của màng chỉ thị pH

Hình 7: (a) Mức độ thay đổi màu sắc của màng theo thời gian trong điều kiện nhiệt độ phòng và nhiệt độ 4ºC; (b) Hình ảnh màng ở các thời gian khác nhau trong 2 điều kiện nhiệt độ.
3.2.3. Sự thay đổi màu sắc của màng chỉ thị trong các khoảng thời gian khác nhau

Hình 8: Sự thay đổi màu sắc của màng chỉ thị độ tươi của thịt trong các khoảng thời gian khác nhau ở nhiệt độ phòng.

Hình 9: Sự thay đổi màu sắc của màng chỉ thị độ tươi của thịt trong các khoảng thời gian khác nhau ở nhiệt độ 4ºC.

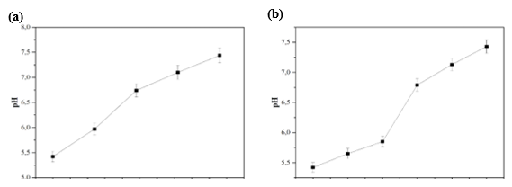
Hình 10: pH của mẫu thịt ở các khoảng thời gian khác nhau (a) Nhiệt độ phòng, (b) Nhiệt độ 4ºC
4. THẢO LUẬN
4.1. Tối ưu các điều kiện chiết anthocyanins
4.1.1. Lựa chọn nguyên liệu để chiết anthocyanins
Kết quả thử nghiệm các mẫu dung dịch chiết anthocyanins từ các nguồn nguyên liệu khác nhau cho thấy rằng các dịch chiết đều có sự thay đổi màu theo pH, tuy nhiên bắp cải tím có khả năng biến đổi màu sắc rõ rệt nhất khi thay đổi từ pH 6 sang pH 7-8. Trong điều kiện axit (pH 1-2) dịch chiết khá ổn định với màu đỏ, sau đó chuyển sang màu tím ở pH 4-6, từ từ chuyển qua màu xanh lá cây ở pH 8,9,10 và giai đoạn cuối ở pH 11,12 dung dịch chuyển sang màu xanh vàng.
Sự chuyển màu của dịch chiết bắp cải tím theo pH có thể giải thích do sự chuyển các dạng tồn tại của 2 hợp chất anthocynnins có mặt chủ yếu trong bắp cải tím là cyanidin và peonidin acyl hóa [16]. Ở pH 1-3, các anthocyanins này tồn tại dưới dạng cation flavilium ổn định với màu đỏ. Ở pH 4-7, chúng chuyển thành dạng carbinol và một phần chuyển thành dạng quinonoidal. Ở pH 8, anthocyanins chuyển thành màu xanh dương vì tồn tại dưới dạng anion quinonoid và chuyển thành màu xanh lá cây do tồn tại dưới dạng anion chalcone khi pH trên 10 [8]. Kết quả trên cũng tương tự với nghiên cứu của Nazila Ghareaghajlou và các cộng sự (Hình 8) [17].

Hình 11: Các dạng tồn tại của anthocyanins trong các pH khác nhau [17]
Kết quả khảo sát trên cho thấy bắp cải tím có tiềm năng làm nguyên liệu cho màng chỉ thị độ tươi của thực phẩm trong nghiên cứu này. Trong các thí nghiệm tiếp theo, chúng tôi lựa chọn bắp cải tím để tiếp tục khảo sát ảnh hưởng của các điều kiện chiết anthocyanins, bao gồm dung môi chiết, thời gian chiết, nhiệt độ chiết,...đến hàm lượng anthocynin chiết tách được.
4.1.2. Ảnh hưởng của dung môi chiết
Dung môi đóng vai trò quan trọng trong việc chiết tách anthocyanins ra khỏi các nguyên liệu. Dung môi để khảo sát lựa chọn là hỗn hợp ethanol/nước với các tỉ lệ thể tích khác nhau là: 0/1, 1/4, 1/1, 3/4, 1/0, với điều kiện thực hiện phản ứng ở nhiệt độ phòng, khuấy trong vòng 70 phút, tỉ lệ thể thể tích dung môi nước/khối lượng bắp cải tím là 10/1. Dựa trên kết quả khảo sát, khi tỷ lệ dung môi từ 0/1 (100% nước) thay đổi đến tỷ lệ dung môi 1/1, hàm lượng anthocyanins giảm từ 68,13 ± 2,72 mg/L xuống 38,49 ± 1,54 mg/L, sau đó khối lượng anthocyanins gần như không thay đổi khi thay đổi tỷ lệ dung môi là 1/0 (100% ethanol). Anthocyanins là các hợp chất có tính phân cực cao do có chứa các nhóm hydroxyl (-OH) và methoxy (-OCH3) trong khi nước là dung môi phân cực mạnh hơn ethanol, có khả năng hòa tan tốt các hợp chất phân cực, vì vậy khi chiết xuất bằng nước, hàm lượng anthocyanins thu được cao hơn so với khi chiết xuất bằng ethanol và hỗn hợp ethanol/nước. Bên cạnh đó, nước là một dung môi rẻ tiền, thân thiện với môi trường, rất phù hợp để lựa chọn làm dung môi chiết anthocyanins từ bắp cải tím.
4.1.3. Ảnh hưởng của tỷ lệ thể tích dung môi/khối lượng bắp cải tím
Đã tiến hành chiết anthocyanins từ bắp cải tím với tỷ lệ thể tích dung môi nước/khối lượng bắp cải tím thay đổi lần lượt là: 5/1, 10/1, 15/1, 20/1, với điều kiện nhiệt độ phòng, khuấy trong vòng 70 phút. Kết quả cho thấy, hàm lượng anthocyanins đạt giá trị cao nhất ở tỷ lệ thể tích dung môi/khối lượng bắp cải tím là 5/1, đạt 112,88 ± 6,77 mg/L và giảm khi thể tích của nước tăng dần. Điều này chứng tỏ, tỷ lệ thể tích dung môi nước/khối lượng bắp cải tím 5:1 là phù hợp để có thể hoà tan tốt nhất anthocyanins trong bắp cải tím. Các tỷ lệ thể tích dung môi nước/khối lượng bắp cải tím nhỏ hơn (1/1-4/1) cũng đã được khảo sát, tuy nhiên, lượng dung môi không đủ để thực hiện phản ứng khuấy, không có đủ dung môi để hoà tan được tối đa anthocyanins.
4.1.4. Ảnh hưởng của thời gian chiết
Thời gian chiết là một trong những yếu tố quan trọng đảm bảo anthocyanins trong bắp cải được chiết tối đa vào dung môi nước. Khi thay đổi thời gian chiết từ 30 phút đến 50 phút, hàm lượng của anthocyanins tăng dần từ 91,76 ± 2,75 mg/L đến 103,19 ± 3,09 mg/L. Tuy nhiên, nếu tiếp tục tăng thời gian chiết, hàm lượng anthocyanins có xu hướng giảm nhẹ, do anthocyanins không bền và bị phân hủy. Thời gian chiết 50 phút do đó được chọn là thời gian chiết tối ưu cho các thí nghiệm tiếp theo.
4.1.5. Ảnh hưởng của nhiệt độ chiết
Khi tăng nhiệt độ, tốc độ chiết anthocyanins sẽ tăng nhưng đồng thời cũng có khả năng xảy ra sự phân hủy chất ở nhiệt độ cao, nên đây cũng là một yếu tố quan trọng cần khảo sát để tối ưu quá trình chiết. Như có thể thấy trên hình 4, khi tăng nhiệt độ chiết, hàm lượng anthocyanins tăng gần như tuyến tính và đạt được giá trị cực đại ở nhiệt độ 70°C (178,93± 5,37 mg/L). Tương tự như yếu tố thời gian, anthocyanins cũng dễ dàng bị phân huỷ khi ở nhiệt độ cao. Vì vậy 70°C là nhiệt độ thích hợp cho phản ứng chiết anthocyanins.
Từ các khảo sát trên, qui trình chiết tối ưu anthocyanins từ bắp cái tím được tóm tắt như sau:
- Nguyên liệu chiết anthocyanins: Bắp cải tím
- Dung môi chiết: Nước
- Tỉ lệ thể tích dung môi/khối lượng bắp cải tím: 5/1
- Thời gian chiết: 50 phút
- Nhiệt độ chiết: 70°C
- Hàm lượng: 178,93 ± 5,37 mg/L
Kết quả về hàm lượng anthocyanins trong nghiên cứu này lớn hơn nhiều so với với kết quả đã công bố của Efendi cùng các cộng sự (64,124 mg/L), anthocyanins từ bắp cải tím được chiết bằng hỗn hợp nước và methanol (1:1 v/v) có acid citric 7%, ở 60°C trong vòng 1 giờ [18].
4.1.6. Phổ hấp thụ phân tử UV-Vis của dịch chiết bắp cải tím
Trên hình 5(a) là phổ hấp thụ phân tử UV-Vis của dịch chiết bắp cải tím tại các giá trị pH thay đổi từ 2 đến 10. Có thể thấy, cùng với sự thay đổi màu sắc của dung dịch, các cực đại hấp thụ đặc trưng và độ hấp thụ quang tại bước sóng cực đại cũng thay đổi theo pH. Tại pH 2-3, các dung dịch có cực đại hấp thụ ở bước sóng 522 nm. Khi pH tăng từ 4-6, đỉnh hấp thụ cực đại dịch chuyển về bước sóng 550 nm cùng với sự thay đổi màu sắc từ đỏ sang tím. Đỉnh hấp thụ cực đại dịch chuyển về bước sóng khoảng 600 nm khi pH tăng lên 7 cùng với sự thay đổi màu sắc từ tím và xanh dương. Ở pH 8-10, màu của dung dịch chuyển sang xanh lá cây- vàng, độ hấp thụ cực đạt ở bước sóng khoảng 610 nm. Sự dịch chuyển bước sóng cực đại do sự thay đổi cấu trúc của anthocyanins từ cation flavylium sang hemiketal hoặc quinonoidal [8].
Từ các số liệu thu được trên hình 5(a), xây dựng mối quan hệ giữa tỷ lệ độ hấp thụ quang tại 2 bước sóng cực đại 605 nm và 522 nm (A605/A522) của dịch chiết bắp cải tím tăng theo pH. Phương trình hồi qui thu được có dạng: y = 0,0026x2,14, trong đó y là A605/A530; x là giá trị pH. Với hệ số tương quan cao R2 = 0,9619, phương trình cho thấy sự phù hợp với kết quả thực nghiệm và có khả năng sử dụng để xác định pH của dung dịch dựa trên việc đo phổ hấp thụ phân tử UV-Vis bên cạnh việc quan sát màu sắc [15].
Với sự thay đổi màu sắc cũng như các đặc trưng hấp thụ quang theo pH, dung dịch chiết chứa anthocyanins từ bắp cải tím có tiềm năng sử dụng để chỉ thị pH hoặc cho các ứng dụng liên quan đến sự thay đổi pH. Tiếp theo, dung dịch chiết này sẽ được kết hợp với nanocellulose và CMC từ vỏ chanh leo để tổng hợp màng chỉ thị độ tươi của thịt, dựa trên đặc điểm khi thịt phân hủy sẽ có môi trưởng pH lớn hơn 6 và gây nên sự thay đổi màu sắc của màng.
4.2. Màng chỉ thị anthocyanins và ứng dụng trong chỉ thị độ tươi của thịt
4.2.1. Đặc trưng quang học của màng anthocyanins
Trên hình 6(a) là phổ hấp thụ phân tử của dung dịch anthocyanins, dung dịch màng chỉ thị (chứa nanocellulose, CMC, anthocyanins) và dung dịch màng chỉ thị nhưng không chứa anthocyanins. Phổ hấp thụ phân tử của dung dịch anthocyanins cho thấy 1 đỉnh hấp thụ cực đại ở bước sóng 550 nm. Đỉnh hấp thụ này cũng xuất hiện trên dung dịch màng có chứa chất chỉ thị nhưng không có đỉnh hấp thụ cực đại nào đối với dung dịch màng không chứa anthocyanins. Do đó, có thể kết luận rằng, anthocyanins đã được kết hợp vào trong mạng lưới nanocellulose và CMC của màng.
Hình 6(b) biểu diễn sự thay đổi màu sắc của màng khi được nhúng trong các dung dịch có pH khác nhau. Cụ thể, ở pH 2, màng chuyển sang màu đỏ, trong khi ở pH 6 màng có màu tím, xuất hiện màu xanh dương khi pH đạt 7 và chuyển sang màu xanh lá cây khi ở pH 10. Những kết quả thực nghiệm này hoàn toàn khớp với kết quả khảo sát trước đó về dung dịch anthycianin chiết từ bắp cải tím.
4.2.2. Độ ổn định màu của màng chỉ thị pH
Độ ổn định màu sắc của màng chỉ thị pH cũng là một trong những yếu tố quan trọng để xác định khả năng chỉ thị của màng [14]. Trong thí nghiệm, độ ổn định màu của màng chỉ thị được khảo sát dưới hai điều kiện nhiệt độ bảo quản, bao gồm nhiệt độ phòng (25ºC) và nhiệt độ lạnh (4ºC), nhằm mô phỏng hai môi trường lưu trữ thực phẩm phổ biến. Màu sắc của màng được theo dõi liên tục trong suốt 10 ngày. Kết quả cho thấy ở điều kiện lạnh, mức độ thay đổi màu sắc (S%) đạt mức tối đa là 1,85 ± 0,074%, thấp hơn so với giá trị thu được ở điều kiện nhiệt độ phòng (1,95 ± 0,095%). Sự khác biệt này được lý giải bởi đặc tính kém bền của anthocyanins trước tác động của nhiệt độ và ánh sáng [14]. Màu thực của màng chỉ thị vẫn giữ được màu sắc gần tương tự với màu sắc ban đầu của màng và những thay đổi này không thể phát hiện bằng mắt thường (Hình 7b). Từ những kết quả trên cho thấy, màng chỉ thị pH từ nanocellulose, CMC và anthocyanins chiết xuất từ bắp cải tím có độ ổn định màu cao và là một loại vật liệu có tiềm năng để chỉ thị độ tươi của thịt.
4.2.3. Ứng dụng trong chỉ thị độ tươi của thịt
Màng được dùng để thử nghiệm chỉ thị độ tươi của 10 g thịt lợn ở nhiệt độ phòng, và nhiệt độ 4ºC.
Ở điều kiện nhiệt độ phòng, kết quả cho thấy màu sắc của màng chỉ thị thay đổi rõ rệt theo thời gian, phản ánh chính xác sự biến đổi pH trong quá trình phân hủy của thịt (Hình 8). Sau 12 giờ bảo quản, màng bắt đầu chuyển màu từ khoảng pH 5 sang pH 6 - dấu hiệu cho thấy thịt đang bắt đầu phân hủy. Đến 24 giờ, sự thay đổi màu trở nên rõ rệt hơn, tương ứng với pH 7, cho thấy thịt đã bước vào giai đoạn phân hủy mạnh. Sau 36 giờ, màng chuyển sang màu xanh - đặc trưng của pH 8 - chứng tỏ quá trình phân hủy đã tiến triển đáng kể. Đối chiếu kết quả thu được từ màng chỉ thị với sự thay đổi pH trong mẫu thịt ở điều kiện nhiệt độ phòng (Hình 10a) cho thấy: Sau 12 giờ bảo quản, pH của thịt đạt khoảng 5,79 ± 0,120 và tăng lên 6,74 ± 0,135 vào thời điểm 24 giờ. Giá trị pH đo được từ mẫu thịt thực tế nhìn chung thấp hơn một cách không đáng kể so với giá trị suy ra từ màu sắc của màng chỉ thị. Sự chênh lệch nhỏ này có thể được lý giải như sau: Do bề mặt của miếng thịt tiếp xúc trực tiếp với không khí, các vi sinh vật hiếu khí có điều kiện phát triển thuận lợi, dẫn đến quá trình phân hủy ở lớp ngoài diễn ra nhanh hơn so với phần bên trong. Khi nghiền toàn bộ mẫu để đo pH, giá trị thu được là trung bình của toàn bộ khối thịt, do đó bị ảnh hưởng bởi phần lõi ít phân hủy hơn, làm giảm giá trị pH tổng thể so với thực tế tại bề mặt nơi màng chỉ thị tiếp xúc. Rekha Rose Koshy và các cộng sự cũng đã dùng anthocyanins được chiết từ hoa đậu biếc để làm chất chỉ thị cho màng được tạo từ tinh bột kết hợp với chấm nanocacbon theo dõi sự hư hỏng của thịt lợn. Tuy nhiên, dải thay đổi màu sắc của màng chỉ thị được báo cáo trong nghiên cứu này thể hiện sự chuyển màu không rõ rệt trong khoảng pH 6-7, gây khó khăn trong việc nhận biết bằng mắt thường ở giai đoạn đầu của quá trình phân hủy. Màu sắc chỉ thay đổi rõ rệt từ hồng sang xanh khi mẫu thịt đã bị phân hủy mạnh, đồng thời tạo ra nồng độ cao các hợp chất nitơ bay hơi, phản ánh giai đoạn hư hỏng nghiêm trọng[19].
Ở điều kiện bảo quản lạnh (4°C), quá trình phân hủy của thịt diễn ra chậm hơn đáng kể so với nhiệt độ phòng. Sau 4 ngày lưu trữ, màng chỉ thị bắt đầu chuyển màu tương ứng với pH 6, cho thấy thịt đã có dấu hiệu phân hủy nhẹ. Đến ngày thứ 6, màu sắc của màng tiếp tục thay đổi rõ rệt, phản ánh sự gia tăng pH và quá trình phân hủy diễn ra rõ hơn (Hình 9). Kết quả này cho thấy khả năng phản ứng nhạy của màng chỉ thị đối với sự thay đổi pH, ngay cả trong điều kiện bảo quản lạnh, đồng thời chứng minh tính ứng dụng của màng trong việc giám sát độ tươi thực phẩm trong chuỗi lạnh. Tương tự, khi đối chiếu với sự thay đổi pH trong mẫu thịt được bảo quản ở nhiệt độ 4°C (Hình 10b), kết quả cho thấy: Sau 4 ngày, pH đạt khoảng 5,85 ± 0,0878 và tăng lên 6,79 ± 0,102 vào ngày thứ 6. Sự khác biệt nhỏ giữa pH đo được từ thịt thực tế và pH suy ra từ màu sắc màng chỉ thị cũng có thể được giải thích tương tự như ở điều kiện nhiệt độ phòng.
Những quan sát này khẳng định rằng màng chỉ thị sử dụng anthocyanins chiết xuất từ bắp cải tím có độ nhạy cao và chính xác với sự biến động pH trong thực phẩm. Nhờ đó, màng có tiềm năng ứng dụng lớn trong việc đánh giá độ tươi, đặc biệt là trong theo dõi quá trình phân hủy của thịt một cách trực quan và hiệu quả.
5. KẾT LUẬN
Đã tách thành công dịch chiết giàu anthocyanins có khả năng thay đổi màu khi pH thay đổi từ 1 đến 12 từ các loại rau củ quả, trong đó dịch chiết giàu anthocyanins từ bắp cải tím có sự thay đổi màu rõ rệt nhất khi pH thay đổi từ 6 đến 7. Hàm lượng anthocyanins chiết từ bắp cải tím đạt lớn nhất là 178,93 ± 5,37 mg/L khi chiết với dung môi nước, thể tích dung môi/khối lượng bắp cải tím là 5/1, thời gian chiết là 50 phút và nhiệt độ chiết là 70°C. Màng chỉ thị chế tạo từ CMC và nanocellulose từ vỏ chanh leo được kết hợp với anthocyanins tách từ bắp cải tím đã thể hiện độ nhạy cảm biến pH. Kết quả thử nghiệm màng chỉ thị độ tươi của thịt lợn trong quá trình bảo quản cho thấy: ở nhiệt độ phòng, sau 12 giờ, màng bắt đầu đổi màu tương ứng với sự thay đổi pH của thịt. Ở điều kiện bảo quản lạnh 4ºC, màng đổi màu sau 6 ngày. Điều này chứng tỏ màng chỉ thị có tiềm năng ứng dụng trong việc theo dõi độ tươi của thực phẩm.
Lời cảm ơn: Chúng tôi xin gửi lời cảm ơn tới bộ môn Hoá phân tích, khoa Hoá học, trường Đại học Khoa học Tự Nhiên, Đại học Quốc gia Hà Nội đã cung cấp cơ sở vật chất và trang thiết bị cần thiết để thực hiện các thí nghiệm của đề tài này. Đặc biệt, chúng tôi trân trọng cảm ơn các cá nhân đã đóng góp ý kiến chuyên môn, hỗ trợ trong quá trình nghiên cứu, phân tích và xử lí số liệu.
Tuyên bố về đóng góp của tác giả: Nguyễn Diệu Phương: Xây dựng phương pháp nghiên cứu, nghiên cứu, xử lý số liệu, viết bản thảo gốc; Trần Thị Minh Trang: Nghiên cứu, xử lý dữ liệu; Phan Thị Tuyết Mai: Giám sát nghiên cứu, kiểm định và xác thực kết quả; Phạm Thị Ngọc Mai: Đề xuất ý tưởng, xây dựng phương pháp nghiên cứu, viết, chỉnh sửa bản thảo.
Tuyên bố về xung đột lợi ích: Không có bất kỳ xung đột lợi ích nào liên quan đến nghiên cứu này. Nghiên cứu này được thực hiện hoàn toàn độc lập và không nhận bất kỳ nguồn tài trợ nào.
Tài liệu tham khảo
2. D. Liu et al., Recent Advances in pH-Responsive Freshness Indicators Using Natural Food Colorants to Monitor Food Freshness, Foods, Vol. 11, No. 13, Art. no. 13, Jan. 2022. DOI: 10.3390/foods11131884
3. I. Păușescu, D. -M. Dreavă, I. Bîtcan, R. Argetoianu, D. Dăescu and M. Medeleanu, Bio-Based pH Indicator Films for Intelligent Food Packaging Applications, Polymers, Vol. 14, No. 17, Art. no. 17, Jan. 2022. DOI: 10.3390/polym14173622
4. D. Chen, J. Lv, A. Wang, H. Yong and J. Liu, Intelligent Food Packaging: Quaternary Ammonium Chitosan/Gelatin Blended Films Enriched with Blueberry Anthocyanin-Derived Cyanidin for Shrimp and Milk Freshness Monitoring, Foods, Vol. 13, No. 14, Art. no. 14, Jan. 2024. DOI: 10.3390/foods13142237
5. R. Yekta, A. Dabbagh Moghaddam, H. Hosseini, A. Sharifan, S. Hadi and S. -J. Hosseini-Shokouh, Effect of using biodegradable film constituting red grape anthocyanins as a novel packaging on the qualitative attributes of emergency food bars during storage, Food Science & Nutrition, Vol. 12, No. 4, pp. 2702-2723, 2024. DOI: 10.1002/fsn3.3951
6. R. Mattioli, A. Francioso, L. Mosca and P. Silva, Anthocyanins: A Comprehensive Review of Their Chemical Properties and Health Effects on Cardiovascular and Neurodegenerative Diseases, Molecules, Vol. 25, No. 17, Art. no. 17, Jan. 2020. DOI: 10.3390/molecules25173809
7. H. Xue et al., Factors affecting the stability of anthocyanins and strategies for improving their stability: A review, Food Chemistry: X, Vol. 24, p. 101883, Dec. 2024. DOI: 10.1016/j.fochx.2024.101883
8. A. Wulandari, T. C. Sunarti, F. Fahma and T. Enomae, The potential of bioactives as biosensors for detection of pH, IOP Conf. Ser.: Earth Environ. Sci., Vol. 460, No. 1, p. 012034, Mar. 2020. DOI: 10.1088/1755-1315/460/1/012034
9. J. S. Câmara et al., Behind the Scenes of Anthocyanins-From the Health Benefits to Potential Applications in Food, Pharmaceutical and Cosmetic Fields, Nutrients, Vol. 14, No. 23, Art. no. 23, Jan. 2022. DOI: 10.3390/nu14235133
10. A. B. Santamarina, P. C. Calder, D. Estadella and L. P. Pisani, Anthocyanins ameliorate obesity-associated metainflammation: Preclinical and clinical evidence, Nutrition Research, Vol. 114, pp. 50-70, Jun. 2023. DOI: 10.1016/j.nutres.2023.04.004
11. D. Kossyvaki, M. Contardi, A. Athanassiou and D. Fragouli, Colorimetric Indicators Based on Anthocyanin Polymer Composites: A Review, Polymers, Vol. 14, No. 19, Art. no. 19, Jan. 2022. DOI: 10.3390/polym14194129
12. Y. Liu et al., A fluorescent pH probe for evaluating the freshness of chicken breast meat, Food Chemistry, Vol. 384, p. 132554, Aug. 2022. DOI: 10.1016/j.foodchem.2022.132554
13. Y. Ma et al., Enhanced pH-sensitive anthocyanin film based on chitosan quaternary ammonium salt: A promising colorimetric indicator for visual pork freshness monitoring, International Journal of Biological Macromolecules, Vol. 279, p. 135236, Nov. 2024. DOI: 10.1016/j.ijbiomac.2024.135236
14. Y. Miao et al., Exopolysaccharide riclin and anthocyanin-based composite colorimetric indicator film for food freshness monitoring, Carbohydrate Polymers, Vol. 314, 120882, Aug. 2023. DOI: 10.1016/j.carbpol.2023.120882
15. I. Choi, J. Y. Lee, M. Lacroix and J. Han, Intelligent pH indicator film composed of agar/potato starch and anthocyanin extracts from purple sweet potato, Food Chemistry, Vol. 218, pp. 122-128, Mar. 2017. DOI: 10.1016/j.foodchem.2016.09.050
16. J.-A. Fenger, G. T. Sigurdson, R. J. Robbins, T. M. Collins, M. M. Giusti and O. Dangles, Acylated Anthocyanins from Red Cabbage and Purple Sweet Potato Can Bind Metal Ions and Produce Stable Blue Colors, International Journal of Molecular Sciences, Vol. 22, No. 9, Art. no. 9, Jan. 2021. DOI: 10.3390/ijms22094551
17. N. Ghareaghajlou, S. Hallaj-Nezhadi and Z. Ghasempour, Red cabbage anthocyanins: Stability, extraction, biological activities and applications in food systems, Food Chemistry, Vol. 365, p. 130482, Dec. 2021. DOI: 10.1016/j.foodchem.2021.130482
18. R. Efendi, R. I. Pradana, L. K. Dewi and C. Cahyani, The Effect of Drying on Anthocyanin Content and Antioxidant Activity in Red Cabbage and White Cabbage, Reaktor, Vol. 22, No. 3, pp. 86-91, Jan. 2023. DOI: 10.14710/reaktor.22.3.86-91
19. R. R. Koshy, J. T. Koshy, S. K. Mary, S. Sadanandan, S. Jisha and L. A. Pothan, Preparation of pH sensitive film based on starch/carbon nano dots incorporating anthocyanin for monitoring spoilage of pork, Food Control, Vol. 126, 108039, Aug. 2021. DOI: 10.1016/j.foodcont.2021.108039