ẢNH HƯỞNG CỦA ĐỘ MẶN, CHẾ ĐỘ CHIẾU SÁNG ĐẾN PHÁT TRIỂN PHÔI VÀ TỶ LỆ NỞ CỦA CÁ MÚ LAI (♂ Epinephelus lanceolatus x ♀ Epinephelus coioides) TẠI VIỆT NAM
Chi nhánh Ven Biển, Trung tâm Nhiệt đới Việt - Nga
Số 30 Nguyễn Thiện Thuật, Nha Trang, Khánh Hòa
Số điện thoại: 0778586809; Email: yensinhthainhietdoi@gmail.com
Nội dung chính của bài viết
Tóm tắt (Abstract)
EFFECTS OF SALINITY, LIGHTING MODE ON EMBRYO DEVELOPMENT, HATCHING RATE OF HYBRID GROUPER (♂Epinephelus lanceolatus x ♀ Epinephelus coioides) IN VIETNAM
The study aims to evaluate the effects of salinity and lighting mode on the development of embryogenesis, hatching rate were observed of hybrid grouper ELEC (♂ Epinephelus lanceolatus x ♀ Epinephelus coioides) was carried out from July to October in 2022. This study different salinity was a completely randomized design with 5 treatment (23, 28, 31, 35 and 37 ppt) and different light time was a completely randomized design with 5 treatments (10, 12, 14, 16 and 18 hour) with 3 replicates.
The diameter of fertilized eggs measured 0.857±0.150 mm. Hybrid grouper eggs undergo many times of cleavage, hatching time 18h30’ with the fertilization and hatched rates were 80-85%, respectively. Newly hatched larvae obtained 15,342; 1.35-1.6 mm in size, hatched from 18,050 fertilized eggs. The suitable salinity for incubation of hybrid grouper eggs is in the range of 31 to 35 ‰ with high hatching rate of 80 - 85% and low malformation rate of 0%.
The results indicated that there were no significant effects of lighting time on the embryonic stages. Thus, the salinity should be maintained at 31 to 35 ‰, hatched rates were 80-85%.
From the above results, we could conclude that hybrid grouper ELEC is predicted that artificial reproduction process and breeding product will be applied on practice in marine of Vietnam in the future.
Từ khóa (Keywords)
Epinephelus coioides, Epinephelus lanceolatus hybrid grouper, ELEC, Lai tạo, Phát triển phôi, Độ mặn, Chế độ chiếu sáng, Cá mú lai, Cá mú nghệ đực, Cá mú đen cái.
Chi tiết bài viết
1. Đặt vấn đề
Sản lượng khai thác thủy sản thế giới có xu hướng giảm từ 96,5 triệu tấn (2018) xuống 92,2 triệu tấn (2019) và 90,3 triệu tấn (2020) do đánh bắt quá mức và suy thoái môi trường ven biển. Tuy nhiên, sản lượng nuôi trồng thủy sản có xu hướng tăng rõ rệt từ 82,5 triệu tấn (2018) lên 85,2 triệu tấn (2019) và 87,5 triệu tấn (2020). Điều này cho thấy, tầm quan trọng của nuôi trồng thủy sản đối với kinh tế thế giới trong tương lai [1].
Họ cá mú (Serranidae) sống ở vùng nước có độ sâu từ 1 đến 60 m và có thể bắt gặp ở vùng cửa sông nơi có độ mặn thấp. Đa số loài cá mú có tốc độ tăng trưởng nhanh, khả năng kháng bệnh tốt, giá trị kinh tế cao. Vì vậy, cá mú trở thành đối tượng quan trọng trong nuôi trồng thủy sản (NTTS), góp phần làm giảm áp lực đối với các quần thể tự nhiên bị đánh bắt quá mức và đáp ứng nhu cầu thị trường thế giới hiện nay [2].
Cá mú lai được lai tạo/lai ghép từ 2 loài cá mú bố mẹ khác nhau để tạo ra một con giống mới phục vụ cho nuôi trồng thủy sản. Mục đích lai tạo là lựa chọn những ưu thế từ bố mẹ cho thế hệ con lai đạt được dòng tăng trưởng nhanh hơn, rút ngắn chu kỳ nuôi thương phẩm, kiểm soát tỷ lệ giới tính, cải thiện chất lượng thịt, gia tăng sức đề kháng dịch bệnh và cải thiện khả năng chống chịu với biến đổi môi trường sống [3]. Trường đại học Sabah, Malaysia đã có những nghiên cứu thành công đầu tiên trong công nghệ sản xuất giống 4 loại cá mú lai được lai từ cá đực là cá mú nghệ E. Lanceolatus: ♂E. lanceolatus x♀E. fuscoguttatus; ♂E. lanceolatus x ♀E. coioides; ♂E. lanceolatus x ♀E. polyphekadion; ♂E. lanceolatus x ♀E. Corallicola tiếp đó là các nước Đài Loan, Indonesia, Trung Quốc nghiên cứu hoàn thiện công nghệ và đưa vào thực tiễn sản xuất theo quy mô công nghiệp. Trong đó, cá mú lai (E. lanceolatus ♂ x E. coioides ♀) được đánh giá là đối tượng nuôi có tốc độ tăng trưởng nhanh, tỷ lệ sống cao và có khả năng chịu được điều kiện khí hậu khắc nghiệt [3]. Ở Việt Nam, năm 2018, Trung tâm quốc gia giống Hải sản miền Bắc đã có những nghiên cứu đầu tiên về sản xuất giống cá trân châu (♂ E. lanceolatus x ♀ E. fucogustatus) với tỷ lệ thụ tinh đạt 35%, tỷ lệ nở <50% [4], sau đó Viện nghiên cứu thủy sản III đã hoàn thiện và sản xuất giống với tỷ lệ thụ tinh đạt 65-70%, tỷ lệ nở đạt 70-80% [5]. Hiện nay, nghề sản xuất giống cá mú trân châu phát triển đem lại giá trị kinh tế cao, chủ động nguồn giống cung cấp cho nuôi thương phẩm. Một trong những nguyên nhân gây khó khăn cho việc sản xuất giống cá là tỷ lệ nở của trứng, chất lượng ấu trùng thấp dẫn đến số lượng cá bột không cao. Có nhiều yếu tố ảnh hưởng tới sự phát triển của trứng, trong đó nguyên nhân ảnh hưởng trực tiếp là yếu tố độ mặn và cường độ ánh sáng trong môi trường ương nuôi [6]. Một số nghiên cứu đánh giá ảnh hưởng của môi trường ấp nở lên quá trình phát triển phôi của một số loài cá biển như cá mú đen Epinephelus coioides [7], cá mú chuột Cromileptes altivelis [8], cá mú lai (Epinephelus coioides× E. lanceolatus) [9], cá hồng bạc Lutjanus argentimaculatus [10]. Tại Việt Nam, đây là kết quả nghiên cứu đầu tiên về ảnh hưởng của độ mặn và chế độ chiếu sáng lên sự phát triển phôi cá mú lai (♂ E. lanceolatus x ♀ E. coioides) nhằm xác định phương pháp tối ưu cho việc ấp nở trứng.
Bài viết này là kết quả nghiên cứu thực nghiệm lai tạo cá mú lai và ảnh hưởng của độ mặn, chế độ chiếu sáng lên sự phát triển phôi của cá mú lai ♂Epinephelus lanceolatus x ♀Epinephelus coioides (ELEC). Kết quả nghiên cứu sẽ góp phần hoàn thiện quy trình sản xuất giống loài cá mú lai tại Việt Nam.
2. Đối tượng và phương pháp nghiên cứu
2.1. Đối tượng, thời gian và địa điểm nghiên cứu
Đối tượng nghiên cứu: Cá mú lai (ELEC) là giống cá biển được lai tạo giữa tinh trùng cá mú nghệ và trứng cá mú đen (E. lanceolatus ♂ x E. coioides ♀) bằng phương pháp sinh sản nhân tạo.
Cá mú nghệ E. lanceolatus phân bố dọc theo bờ biển vịnh Thái Lan, là đối tượng cá biển có tốc độ sinh trưởng nhanh với 3 kg/1 năm đầu, khối lượng cơ thể lớn (>120kg), tổng chiều dài (TL) ở mức 1,3 m. Có tốc độ tăng trưởng nhanh, khả năng chịu đựng cao đối với các điều kiện khắc nghiệt của môi trường, khả năng chống chịu bệnh tật cao, khả năng di chuyển và sống sót cao của tinh trùng trong điều kiện bảo quản lạnh đạt 70-80% [11].
Cá mú đen Epihephelus coiodes phân bố dọc theo bờ biển vịnh Thái Lan có tốc độ tăng trưởng nhanh, khả năng thích nghi với môi trường tốt, có thịt tươi, ngon, giá trị dinh dưỡng cao được thị trường ưa chuộng, có sức sinh sản cao (Sss dao động từ 600 000 - 1 900 000 trứng/kg cá cái), có mùa vụ sinh sản quanh năm [12].
Con lai giữa phép lai (E. lanceolatus ♂ x E. coioides ♀) có đặc điểm: Tốc độ tăng trưởng nhanh, tỷ lệ sống cao, chống chịu được với các điều kiện môi trường khắc nghiệt, đây là một yếu tố quan trọng trong lựa chọn con giống cho nuôi thương phẩm và phù hợp với điều kiện biến đổi khí hậu hiện nay.
Thời gian thực nghiệm: Tháng 7/2022 đến 10/2022.
Địa điểm: Chi nhánh Ven biển, Trung tâm Nhiệt đới Việt - Nga, số 30 Nguyễn Thiện Thuật, Nha Trang, Khánh Hòa.
2.2. Sản xuất giống cá mú lai
2.2.1. Tuyển chọn, nuôi đàn cá bố mẹ
Cá bố mẹ được tuyển chọn từ đàn cá mú nghệ đực ♂ E. lanceolatus và cá mú đen cái ♀ E. coioides hiện có, số lượng tuyển chọn:
- Cá mú nghệ đực ♂ E. lanceolatus: 01 con, chiều dài 1,3 m, khối lượng 45 kg/con.
- Cá mú đen cái ♀ E. coioides: 02 con, chiều dài 0,6 m, khối lượng 5,5 - 7,0 kg/con.
- Nguồn gốc tự nhiên, hình thái cân đối, khỏe mạnh, bơi lội, bắt mồi tốt.
- Nuôi mú nghệ đực ♂ E. lanceolatus và mú đen cái ♀ E. coioides trong 2 lồng riêng biệt.
- Thức ăn cho cá bố mẹ: cá tươi (cá nục, cá nhâm, cá trích,...).
- Khẩu phần ăn hàng ngày: 5% khối lượng thân cá/ngày.
- Nuôi thành thục: Trước thời gian cho sinh sản 1-2 tháng cho cá bố mẹ ăn cá tươi xen kẽ thức ăn dinh dưỡng cao như mực, cua, ghẹ (khẩu phần 3,0-5,0% khối lượng thân cá/ngày), bổ sung khoáng và vitamin E với khoảng 15-30 ngày/1 lần. Riêng đàn cá mú nghệ ♂ E. lanceolatus, có trộn hormone 17α-MT với bột mì, nhồi trong thức ăn cá hoặc mực và cho ăn với tỷ lệ 1 mg/kg khối lượng đàn, cho ăn thêm hàu sữa (để duy trì và tăng cường tính đực).
2.2.2. Kỹ thuật lựa chọn cá bố mẹ cho sinh sản
- Cá mú nghệ ♂ E. lanceolatus: Dùng tay vuốt từ phía bụng xuôi về lỗ sinh dục. Lựa chọn cá đực có sẹ đặc, màu trắng sữa, dễ tan trong nước.
- Cá mú đen ♀ E. coioides: Dùng ống thăm trứng bằng silicon đường kính 1,0-1,2 mm luồn sâu vào lỗ sinh dục 6-8 cm lấy mẫu kiểm tra trên kính hiển vi. Chọn cá cái có 60% trứng ở giai đoạn IV (đường kính trứng > 420 µm, tròn đều, vỏ và màng trứng tách biệt, hạt trứng rời nhau).
2.2.3. Kỹ thuật thu trứng, thu tinh
Sau khi tuyển chọn được cá bố mẹ thành thục, tiến hành các nội dung sau:
- Gây mê cá mú nghệ ♂ E. lanceolatus, cá mú đen ♀E. coioides bằng MS-222 liều lượng 200-350 ppm.
- Thu tinh cá mú nghệ ♂ E. lanceolatus: Đặt cá bố mẹ nằm trên cáng, dùng tay ép, vuốt bụng cá theo hướng xuôi từ giữa bụng cá về phía lỗ sinh dục. Dùng ống ly tâm nhựa (dung tích 200 ml) đã được vệ sinh sạch để hứng và chứa tinh (dưới lỗ sinh dục).
- Thu trứng cá mú đen ♀ E. coioides: Tiêm kích dục tố với liều lượng: 500 UI HCG + 25μg LHRH-a3 /1kg. Khoảng 32-36 giờ sau khi tiêm hormon, quan sát thấy cá bụng to, mềm, lỗ sinh dục đỏ là thời điểm trứng chín muồi. Tiến hành vuốt nặn và thu trứng chín chứa trong các thau nhựa (tránh để nước vào trứng) [6].
- Sử dụng khăn hoặc chăn vải thấm ướt nước biển để trùm phần đầu của cá bố mẹ trong suốt thời gian thu tinh và trứng (3-5 phút).
2.2.4. Kỹ thuật thụ tinh
- Trộn tinh và trứng, đảo đều bằng lông vũ gia cầm trong thời gian 1 - 2 phút [6].
- Đưa ra vợt bằng lưới mềm, kích thước mắt lưới 300 - 400μm. Rửa sạch trứng bằng nước biển (nhiệt độ: 27 - 30oC; độ mặn: 29 - 31‰; pH: 7,8 - 8,3; ô xy hòa tan (DO): 5 - 6 mg/lít) sau đó chuyển trứng vào bể thụ tinh.
2.2.5. Kỹ thuật tách trứng thụ tinh
- Sau 2-3 giờ tiến hành thu hết trứng trong bể thụ tinh chuyển vào bể tách trứng có độ mặn cao hơn độ mặn nước bể thụ tinh từ 3-5‰. Sau 10-15 phút, thu trứng nổi (trứng thụ tinh) và chuyển vào bể ấp. Loại bỏ trứng chìm (trứng không thụ tinh).
- Trứng thụ tinh được ấp trong bể tròn (đường kính 100 cm, cao 85 cm) thể tích 850 lít nước biển có độ mặn 23-37‰. Quá trình phát triển của trứng được quan sát dưới kính hiển vi Olympus CX41 và ảnh được chụp bằng máy ảnh kỹ thuật số.

2.3. Phân tích, đánh giá ảnh hưởng một số yếu tố môi trường đến phát triển phôi của cá mú lai
2.3.1. Thí nghiệm ảnh hưởng của độ mặn đến quá trình phát triển phôi của cá mú lai
Độ mặn ảnh hưởng đến trứng cá biển và sinh lý của ấu trùng, qua đó ảnh hưởng trực tiếp đến sinh trưởng và tỷ lệ sống của cá. Độ mặn ảnh hưởng đến tỷ lệ nở và đường kính trứng, sự nổi của trứng và ảnh hưởng đến tỷ lệ sống của trứng [13]. Chính vì vậy, bố trí thử nghiệm về ảnh hưởng của độ mặn đến quá trình phát triển phôi của cá mú lai là rất cần thiết.
Thí nghiệm được bố trí ở các mức độ mặn khác nhau: (i) 23‰; (ii) 28‰; (iii) 31‰; (iv) 35‰; (v) 37‰, mỗi nghiệm thức được lặp lại 3 lần trong phòng thí nghiệm, pha các mức độ mặn khác nhau từ nước biển có độ mặn 34 ‰ bằng nước cất và muối tinh khiết NaCl 99%.

2.3.2. Thí nghiệm ảnh hưởng của chế độ chiếu sáng đến quá trình phát triển phôi của cá mú lai
Ánh sáng (chế độ chiếu sáng) là yếu tố sinh thái quan trọng, có ảnh hưởng nhiều đến sự phát triển của thủy sinh vật do khả năng điều tiết hoạt động của hệ nội tiết và quá trình hình thành phát triển phôi của thủy sinh vật [14]. Chính vì vậy, bố trí thử nghiệm về ảnh hưởng của chế độ chiếu sáng đến quá trình phát triển phôi của cá mú lai là rất cần thiết.
Thí nghiệm được bố trí ở các chế độ chiếu sáng (đơn vị tính là giờ) khác nhau: ((i) 10 Sáng + 10 Tối; (ii) 12 Sáng + 8 Tối; (iii) 14 Sáng + 6 Tối; (iv) 16 Sáng + 4 Tối; (v) 18 sáng + 2 Tối, mỗi nghiệm thức được lặp lại 3 lần trong phòng thí nghiệm. Sử dụng ánh sáng tự nhiên vào ban ngày kết hợp đèn neon với cường độ 600 - 800 lux vào ban đêm để chiếu sáng; dùng vải màu đen để che ánh sáng trong các lô thí nghiệm. Tổng thời gian thí nghiệm là 20 giờ.
2.4. Điều kiện thí nghiệm và phương pháp thực hiện
Thí nghiệm được thực hiện trong 15 xô nhựa tròn có thể tích 15 lít/xô với mật độ ấp trứng là 100 trứng thụ tinh/L được được đặt trong phòng thí nghiệm.
Các yếu tố môi trường thí nghiệm: nhiệt độ: 29-30oC; pH: 7,5-8,5; DO: 5,0-5,5 mg/L.
Một số chỉ tiêu theo dõi: thời gian phát triển phôi, thời gian nở, tỷ lệ nở của trứng, tỷ lệ ấu trùng dị hình của mỗi lô thí nghiệm.
Công thức tính các chỉ tiêu theo dõi: Thời gian ấp (phút) là thời gian để 50% số trứng trong bình ấp nở. Thời gian nở (phút) là thời gian xuất hiện ấu trùng đầu tiên cho đến lúc trứng nở hoàn toàn. Tỷ lệ nở (%) = 100 × Tổng số trứng nở (trứng)/ Tổng số trứng trong bình ấp (trứng). Tỷ lệ ấu trùng dị hình (%) = 100 × Tổng số ấu trùng dị hình (con)/ Tổng số ấu trùng nở (con). Ấu trùng dị hình được xác định là những ấu trùng có hình dạng cong thân.
2.5. Phương pháp thu mẫu và xử lý số liệu
Thu mẫu liên tục cách nhau 10 phút/lần, dùng pipet nhựa hút mẫu ngẫu nhiên cho vào các đĩa Peptri, quan sát trực tiếp và chụp ảnh qua đĩa Peptri dưới kính hiển vi soi nổi ở độ phóng đại 10X để đánh giá sự phát triển của phôi và ảnh được chụp bằng máy ảnh kỹ thuật số. Các chỉ tiêu nghiên cứu được ghi nhận tại mỗi lần thu mẫu cho đến khi kết thúc thí nghiệm.
Số liệu được tổng hợp, phân tích, xử lý theo phương pháp thống kê sinh học bằng phần mềm Excel 2010, phân tích phương sai một nhân tố với mức ý nghĩa P<0,05. Số liệu thể hiện dưới dạng trung bình ± SD.
3. Kết quả và thảo luận
3.1. Kết quả lai tạo cá mú lai
3.1.1. Các yếu tố môi trường trong quá trình lai tạo cá mú lai
Phân tích thống kê cho thấy không có sự khác biệt về các yếu tố môi trường giữa các nghiệm thức (P > 0,05). Khoảng dao động của mỗi yếu tố như nhiệt độ nước (27,1÷30,4oC), pH (7,7÷8,1), độ mặn (28÷34‰) và hàm lượng oxy hòa tan (4,0÷5,8 mg/l) đều nằm trong giới hạn thích hợp với sự sinh trưởng và phát triển của cá (Bảng 1).
Bảng 1. Điều kiện môi trường trong quá trình lai tạo cá mú lai (ELEC)
Thông số | Giá trị lớn nhất | Giá trị nhỏ nhất | Trung bình±SD |
Nhiệt độ (oC) | 30,4 | 27,1 | 28,9 ± 0,8 |
pH | 8,1 | 7,7 | 7,9 ± 0,1 |
S (‰) | 34 | 28 | 30,8 ± 0,2 |
DO (mg/l) | 5,8 | 4,0 | 5,1 ± 0,4 |
NH3-N (mg/l) | 2,0 | 0,0 | 0,8 ± 0,2 |
3.1.2. Phát triển phôi trong quá trình ấp nở của cá mú lai
Tổng số trứng thu được 19 000 trứng, số trứng thụ tinh thu được 18 050 trứng đạt tỷ lệ thụ tinh 95%. Trứng cá mú lai (mới thụ tinh) có đường kính 0,857±0,150 mm và đường kính giọt dầu là 0,185±0,100 mm. Những thay đổi về hình thái trong quá trình phát triển được thể hiện ở Hình 3. Vào lúc 0 giờ 10 phút (0:10 giờ) sau khi thụ tinh đĩa phôi phồng lên tạo thành mũ tế bào chất. Sự phân cắt đầu tiên xảy ra lúc 0h25’ trên bề mặt đĩa phôi xuất hiện 1 rãnh dọc, chia đĩa phôi thành 2 tế bào giống nhau. Phôi phân cắt lần thứ 2 lúc 0h27 phút, xuất hiện rãnh thứ 2 vuông góc với rãnh thứ nhất chia đĩa phôi thành 4 tế bào giống nhau, phần đĩa phôi tiếp cận hình vuông. Phôi phân cắt lần thứ 3 lúc 0h29’ chia đĩa phôi thành 8 tế bào. Phần đĩa phôi tiếp cận gần giống hình chữ nhật. Phôi phân cắt lần thứ 4 lúc 0h31’ trên đĩa phôi xuất hiện 16 tế bào giống nhau, phần đĩa phôi giống hình ô van. Phôi phân cắt lần thứ 5 lúc 0h33’ đĩa phôi xuất hiện 32 tế bào tương đối giống nhau, các rãnh phân cắt không thẳng, phần đĩa phôi tiếp cận được gần giống hình tròn. Phôi phân cắt lần thứ 6 lúc 0h35’ đĩa phôi xuất hiện 64 tế bào không đều nhau các tế bào trở nên nhỏ hơn. Phôi phân cắt lần thứ 7 lúc 2h46’ trên đĩa phôi đạt được 128 tế bào không đều nhau, đĩa phôi trở nên xù xì ở giai đoạn đa tế bào còn được gọi là phôi dâu. Lúc 3h15’ đĩa phôi nhân lên nhiều tế bào, kích thước nhỏ, khó phân biệt. Khối tế bào nhô cao lên khỏi túi noãn hoàng eo thắt giữa phôi và khối noãn hoàng tương đối rõ. Lúc 3h21’ đĩa phôi tràn xuống, phủ lên khối noãn hoàng, tạo thành một khối hình cầu, eo thắt giữa túi phôi và khối noãn hoàng hoàn toàn biến mất. Lúc 3h30’ đĩa phôi tiếp tục phát triển, bao phủ ½ noãn hoàng xuất hiện một mấu lồi phát triển về phía trong đĩa phôi gọi là phôi thuẫn. 5h15’ phần chính giữa mặt lưng của thân phôi xuất hiện 4-5 đốt cơ gọi là phôi vị. 6h15’ phôi xuất hiện 2 bọng mắt lồi ra về 2 phía, thân phôi đã có 7 - 8 đốt cơ, phần sau của thể phôi xuất hiện mầm phôi. 8h15’ phôi xuất hiện 17-18 đốt cơ, tiền thân của dây sống, thân phôi uốn cong, bao phủ ½ chu vi noãn hoàng. 10h00’ thân phôi thai bao quanh 2/3 khối noãn hoàng, nhìn thấy tim phôi đập. 14h45’ phôi bao quanh gần kín khối noãn hoàng, trên đầu ngoài bọng mắt còn nhìn thấy các thùy của não bộ. 18h20’-18h30’ vỏ trứng tách làm đôi, trứng nở, ấu trùng mới nở có kích thước chiều dài 1,35-1,60 mm, giọt dầu nằm giữa noãn hoàng và hơi dịch về phía sau, có kích thước trung bình khoảng 0,26 mm, noãn hoàng hình quả lê, hơi lồi ra phía trước. Số lượng ấu trùng thu được 15 342 ấu trùng E. coioides × E. lanceolatus nở ra từ 18 050 trứng thụ tinh, đạt tỷ lệ nở 80-85%.


Hình 3. Phát triển của phôi cá mú lai ELEC (♂E.lanceolatus x ♀E.coioides)
Quá trình phát triển phôi và nở trứng của cá mú lai (♂ E. lanceolatus x ♀ E. coioides) vào khoảng thời gian 18h30’ trong môi trường độ mặn 35‰, chế độ ánh sáng tự nhiên với tỷ lệ nở 80-85%. Nếu so sánh với các loài cá mú khác, cá mú cọp Epinephelus fuscoguttatus mất 23 giờ 30 phút để nở ở 28,0℃ [15]; cá mú E. striatus mất từ 23 đến 40 giờ để hoàn thành quá trình phát triển phôi của trứng. Từ các nghiên cứu cá mú lai ♂ E. marginatus x ♀ E. costae, cho nhận xét, trứng cá lai phát triển nhanh và nở sớm hơn cá không lai [16].
Đường kính trung bình của trứng đã thụ tinh (0,857±0,150 mm) của con lai (♂ E. lanceolatus x ♀ E. coioides) tương tự các loài trong họ cá mú Serranidae khác như loài E. tauvina (0,71-0,90 mm), E. septemfasciatus (0,82±0,017 mm), E. akaara (0,71-0,77 mm) [17], Cromileptes altivelis (0,80-0,86 mm), cá mú nghệ Epinephelus lanceolatus (0,85-0,92 mm), cá mú chanh Epinephelus malabaricus (0,70-0,82 mm) [18] và một loài cá mú lai khác E. coioides × E. fuscoguttatus (0,83±0,02 mm) [19]. Trong nghiên cứu này, thời gian nở, 18h00-18h30, tương tự với hai giống lai khác E. coioides × E. fuscoguttatus và E. fuscoguttatus × E. lanceolatus [13], tương ứng là 17h30-19h00 và 18h00. Tỷ lệ thụ tinh là 95% trong nghiên cứu này cao hơn E. costae × E. marginatus[16] tương ứng là 50%. Điều này cho thấy sự gần gũi trong mối quan hệ tiến hóa giữa các loài lai. Sự kết hợp của E. coioides × E. lanceolatus có thể được coi là một giống lai đầy hứa hẹn dựa trên tỷ lệ thụ tinh cao.
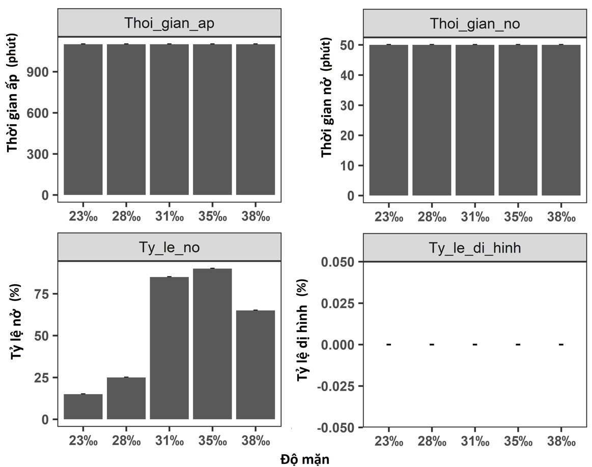
3.2. Ảnh hưởng của độ mặn đến quá trình phát triển phôi cá mú lai
Độ mặn không ảnh hưởng đáng kể tới thời gian ấp, thời gian nở, tỷ lệ dị hình trong quá trình ấp trứng cá mú lai (Hình 4) nhưng có ảnh hưởng đáng kể tới tỷ lệ nở. Tỷ lệ nở đạt giá trị cao nhất ở độ mặn 35‰, tiếp đến là độ mặn 31‰ và sự sai khác giữa 2 nghiệm thức này là không có ý nghĩa thống kê (p>0,05) nhưng cao hơn đáng kể so với các nghiệm thức còn lại.

Hình 4. Ảnh hưởng của độ mặn đến thời gian ấp, thời gian nở, tỷ lệ nở, tỷ lệ ấu trùng dị hình của cá mú lai (♂ E. lanceolatus x ♀ E. coioides)
Tại độ mặn 31‰ và 35‰ có tỷ lệ nở cao lần lượt là 80±0,00% và 85±0,00%, tỷ lệ nở đạt thấp nhất ở độ mặn 23‰ (15±0,00%) và 28‰ (25±0,00%). Kết quả nghiên cứu này cho thấy, trứng thụ tinh cá mú lai ELEC có thể phát triển trong giới hạn độ mặn tương đối rộng từ 23‰ đến 38‰.
Những kết quả nói trên khá tương thích với những kết quả khác về ảnh hưởng của độ mặn đến quá trình phát triển phôi cá mú lai và cá mú không lai tạo.
Một số loài thuộc cá mú (Epinepherus spp.) là đối tượng nuôi rộng muối và có khả năng phát triển tốt trong phạm vi độ mặn rộng (10 - 30 ppt). Điều này có thể tạo thuận lợi cho việc nuôi cá ở cả nước lợ và nước biển [13]. Ví dụ như, phôi của cá mú (Epinepherus. spp.) phát triển tốt ở độ mặn trên 23‰ [18]. Độ mặn, nhiệt độ thích hợp cho ấp nở trứng cá mú cọp (E. futcoguttatus) từ 32 - 35‰ và nhiệt độ nước 29oC, đạt các tỷ lệ nở từ 83,4 - 85,6% và tỷ lệ dị hình thấp 1,79-1,85% [15]. Sự phát triển trứng và ấu trùng của cá mú lai ELEC (♂ E. lanceolatus x ♀ E. coioides) trong điều kiện thích hợp với độ mặn 30 ‰, nhiệt độ nước 28,0 - 29,0oC. Tỷ lệ thụ tinh và nở lần lượt là 91,0% và 33,6%. Ấu trùng mới nở có tổng chiều dài (TL) là 1,53 ± 0,01 mm. Các dị hình không được quan sát thấy trong suốt thời gian thí nghiệm [19].
Kết quả thực nghiệm ảnh hưởng độ mặn (15, 20, 25, 30 và 35‰) đến phát triển phôi của cá mú lai (E. fuscoguttatus x E. lanceolatus) cho thấy: Các giai đoạn phát triển của phôi không có sự khác biệt ở tất cả các mức độ mặn, nhưng tốc độ phát triển khác nhau được quan sát thấy ở một số độ mặn nhất định. Trứng cá mú lai trân châu nở nhanh hơn trứng cá không lai (E. fuscoguttatus) ở cùng độ mặn. Kết quả chỉ ra rằng trứng của cả hai loài cá mú có khả năng chịu ngưỡng độ mặn rộng từ 25-35‰ với tỷ lệ nở (HR) thấp hơn đáng kể và tỷ lệ dị hình (DR) cao hơn (P<0,05) ở độ mặn 15 - 20‰. Độ mặn ấp tối ưu là 30‰ đối với cá mú lai trân châu (HR = 70,9 ± 7,12%; DR = 13,3 ± 2,35%) và E. fuscoguttatus (HR = 37,3 ± 6,1%; DR = 20,0 ± 2,9%). Tỷ lệ dị hình (DR) tăng cao đáng kể ở độ mặn dưới mức tối ưu là điều đáng quan tâm cho một số loài cá mú lai khác.
Như vậy, kết quả nghiên cứu về ảnh hưởng của độ mặn đến quá trình phát triển phôi của cá mú lai (♂ E. lanceolatus x ♀ E. coioides) cho thấy độ mặn ấp thích hợp ở mức 31-35‰ cho tỷ lệ nở đạt 85-90% và tỷ lệ dị hình thấp nhất đạt 0%.
3.3. Ảnh hưởng của chế độ chiếu sáng đến quá trình phát triển phôi cá mú lai
Chế độ chiếu sáng không ảnh hưởng tới thời gian ấp, thời gian nở, tỷ lệ nở và tỷ lệ ấu trùng dị hình trong quá trình ấp trứng cá mú lai.
Tỷ lệ nở ở các chế độ chiếu sáng đạt từ 80% - 85%, tuy nhiên ở chế độ chiếu sáng 18 sáng - 2 tối có xảy ra hiện tượng dị hình ở tỷ lệ rất thấp 1,66 ± 2,88% (Hình 5).
Kết quả nghiên cứu Kellyr (2005) cũng cho rằng, ánh sáng tự nhiên là tốt cho tất cả các giai đoạn. Ánh sáng tự nhiên và nhân tạo liên tục ở mức 1000 - 3000 lux là thích hợp cho ấp trứng, nở và ương ấu trùng. Ánh sáng phải càng đồng đều càng tốt trên hầu hết bể nhưng có thể giảm bớt ở những khu vực nguy hiểm, chẳng hạn như gần cống thoát nước trên bề mặt [20].
Như vậy, kết quả nghiên cứu về ảnh hưởng của chế độ chiếu sáng đến quá trình phát triển phôi của cá mú lai (♂ E. lanceolatus x ♀ E. coioides) cho thấy ánh sáng không ảnh hưởng đến quá trình phát triển phôi của cá mú lai, ở tất cả các chế độ ánh sáng đều cho tỷ lệ nở đạt 85-95% và tỷ lệ dị hình thấp nhất đạt 1,66 ± 2,88%.

Hình 5. Ảnh hưởng của chế độ chiếu sáng đến thời gian ấp, thời gian nở, tỷ lệ nở, tỷ lệ ấu trùng dị hình của cá mú lai (♂ E. lanceolatus x ♀ E. coioides).
4. Kết luận
Trứng cá mú lai trải qua nhiều lần phân cắt, thời gian nở 18h30’. Kết quả sản xuất giống thu được 15 342 ấu trùng cá mú lai (♂ E. lanceolatus x ♀ E. coioides) nở ra từ 18 050 trứng thụ tinh, đạt tỷ lệ nở 80-85%.
Độ mặn thích hợp cho ấp trứng cá mú lai nằm trong khoảng từ 31 - 35‰ cho tỷ lệ nở cao từ 80-85% và tỷ lệ dị hình thấp 0%.
Chế độ chiếu sáng không ảnh hưởng đến quá trình phát triển phôi của cá mú lai. Ở điều kiện môi trường nước có độ mặn 31-35‰ các nghiệm thức thí nghiệm về ánh sáng đều cho tỷ lệ nở 90%.
Tài liệu tham khảo
2. Heemstra P. C. & Randall J. E., FAO fisheries synopsis No. 125, vol. 16, FAO Species Catalogue, vol. 16. Groupers of the World, Rome, 1993, p.248-249.
3. Gan Hwa Luan, Marianne Luin, Rossita Shapawi, Ching Fui Fui, Shigeharu Senoo, Egg development of backcrossed hybrid grouper between OGGG (Epinephelus coioides × Epinephelus lanceolatus), International Journal of Aquatic Science, 2016, 7(1):13-18.
4. Hoàng Nhật Sơn, Nguyễn Đức Tuấn, Nguyễn Quang Huy, Nghiên cứu ương nuôi cá mú trân châu giai đoạn cá bột lên cá hương trong ao nước lợ, Kỷ yếu Hội nghị Khoa học và công nghệ chuyên nghành Thủy sản giai đoạn 2013-2018, 2018, p. 58-64.
5. Trương Quốc Thái, Nghiên cứu quy trình sản xuất giống cá mú lai là con lai giữa cá mú cọp cái và cá mú nghệ đực (♀ Epinephelus fuscoguttatus x ♂ E. lanceolatus) tại Khánh Hòa, Báo cáo đề tài KHCN cấp tỉnh Khánh Hòa, 2020.
6. Kiriyakit A., Gallardo W. G., and Bart A. N., Successful hybridization of groupers (Epinephelus coioides×Epinephelus lanceolatus) using cryopreserved sperm, Aquaculture, 2011, 320(1-2):106-112.
7. Toledo J. D., Caberoy N. B., and Quinitio G. F., Environmental factors affecting embryonic development, hatching rate and survival of early stage larvae of the grouper (Epinephelus coioides), Advances in Grouper Aquaculture. Edited by M.A. Rimmer, S. McBride and K.C. Williams ACIAR Monograph, 2004, 110:10-16.
8. Senoo S., Attempts of artificial seed production on mouse grouper cromileptes altivelis, AquaNet, 2002, 5:52-57 (in Japanese).
9. Sutthinon P., Thongprajukaew K., Saekhow S., and Ketmanee R., Juvenile hybrid grouper (Epinephelus coioides× E. lanceolatus) are euryhaline and can grow in a wide range of salinities, Aquaculture International, 2015, 23(2):671-682.
10. Lê Xân và Nguyễn Hữu Tích, Ảnh hưởng của nhiệt độ và độ mặn tới quá trình phát triển phôi của cá hồng bạc Lutjanus argentimaculatus, Tạp chí Nông nghiệp và phát triển nông thôn, 2011, 177:67-70.
11. Sadovy Y., Donaldson T. J., Graham T. R., McGilvray F., Muldoon G. J., Phillips M. J., Rimmer M. A., Smith A., Yeeting B., While stocks last. The live reef food fjsh trade, Asian Development Bank, Manila, Philippines, 2003, 147pp.
12. Ahmad T. A., El-Dakour S. M., El-Zahar C. R., Growth and survival of the grouper, Epinephelus coioides (Hamilton) at different loading rates in tanks, Aquaculture Research, 2000, 31:603-608.
13. Noor N. M., Cob Z. C., Ghaffar M. A., Das S. K., An evaluation of the effect of salinities on oxygen consumption and wellbeing in the hybrid grouper Epinephelus fuscoguttatus × E. lanceolatus. Turk. J. Fish.& Aquat. Sci., 2008, 19(12):1017-1023. http://doi.org/10.4194/1303-2712-v19_12_04
14. Boeuf G., Le Bail P. Y., Does light have an influence on fish growth, Aquaculture, 1999, 177:129-152.
15. Vũ Văn Sáng, Trần Thế Mưu, Ảnh hưởng của nhiệt độ và độ mặn đến sự phát triển phôi của cá mú cọp (Epinephelus fuscoguttatus), Tạp chí Khoa học và Phát triển, 2013, 11(1):41-45.
16. Glamuzina B., Glavi N., Skaramuca B., Koul V., and Tutman P., Early development of the hybrid Epinephelus costae ♀×E. marginatus ♂. Aquaculture, 1999, 198:55-61. C23
17. Kitajima C., Takaya M., Tsukashima Y., and Arakawa T., Development of eggs, larvae and juveniles of the grouper, Epinephelus septemfasciatus, reared in laboratory, Jpn. J. Ichthyol., 1991, 38:47-55.
18. Lê Xân, Nghiên cứu xây dựng quy trình công nghệ sản xuất giống và nuôi thương phẩm một số loài cá mú (Epinephelus sp.) phục vụ xuất khẩu, Báo cáo tổng kết đề tài KHCN cấp Nhà nước, Mã số KC06.13.NN, Tài liệu lưu trữ tại Viện nghiên cứu NTTS 1, Trung tâm Thông tin tư liệu quốc gia, 2006.
19. Koh I. C. C., Muhd Shaleh S. T., Akawawa N., Oota Y., and Senoo S., Egg and larval development of a new hybrid Epinephelus coioides×E. lanceolatus, Aquaculture Science, 2008, 58(1):1-10.
20. Kelly A. M. & Silverstein J. (eds.), Aquaculture in the 21st Century: Proceedings of an afs special symposium on aquaculture in the 21st Century, 22 August 2001, Phoenix, Arizona (American Fisheries Society Symposium), 2005, p.307-338.