NGHIÊN CỨU TRỒNG THỬ NGHIỆM MỘT SỐ LOÀI TRE TRONG ĐIỀU KIỆN ĐẤT NHIỄM MẶN TẠI HUYỆN CẦN GIỜ, THÀNH PHỐ HỒ CHÍ MINH
Chi nhánh Phía Nam, Trung tâm Nhiệt đới Việt - Nga
Số 3, đường 3/2, Phường 11, Quận 10, Tp. Hồ Chí Minh
Số điện thoại: 0918014265; Email: maitruclan@gmail.com
Nội dung chính của bài viết
Tóm tắt (Abstract)
TRIAL PLANNING OF BAMBOO UNDER SALTY SOIL CONDITIONS
AT CAN GIO DISTRICT, HO CHI MINH CITY
Vietnam is one of the most biodiverse countries with high bamboo species and has the potential for planning bamboo to harvesting bamboo shoots. The purpose of this study is to evaluate the growth ability of Dendrocalamus latiflorus and Bambusa cf. beecheyana under 3 salty soil conditions comprising non-saline soils (0.12±0.12 g/kg), slightly saline soils (1.58±0.39 g/kg), and moderately saline soils (2.96±0.87 g/kg) at Can Gio Applied Research and Testing Station, located in Can Gio District, Ho Chi Minh City. The results showed that the survival rate of bamboo species tends to decrease with planting time and the increase of salinity in the soil environment. Tree height, trunk diameter, and number of trees per clump were significantly higher on non-saline soils than on slightly saline soils and both were significantly higher than moderately saline soils (p-value < 0.05). The primary result provides the research base for further planning bamboo to harvesting bamboo shoots in Can Gio district, Ho Chi Minh City.
Từ khóa (Keywords)
Salty soils, Dendrocalamus latiflorus, Bambusa cf. beecheyana, bamboo shoots, Can Gio, Điền Trúc, Tứ Quý, Cần Giờ, Đất nhiễm mặn, Măng tre
Chi tiết bài viết
1. ĐẶT VẤN ĐỀ
Tre trúc thuộc họ Hòa thảo - Poaceae (Gramineae), có khoảng hơn 1 622 loài tre trúc thuộc 121 chi được biết đến trên toàn cầu, với tổng diện tích khoảng 37 triệu hecta chiếm khoảng 3,2% diện tích rừng của thế giới. Khu vực châu Á - Thái Bình Dương được cho là cái nôi phát triển tre trúc trên thế giới, chiếm khoảng 80% diện tích và có khoảng 900 loài thuộc 65 chi tre trúc [1, 2, 3]. Việt Nam nằm trong vùng nhiệt đới và cận nhiệt đới, có nguồn tài nguyên tre trúc khá đa dạng và phong phú. Các nghiên cứu về phân loại ở trong nước cho thấy có khoảng 210 loài thuộc 27 chi tre trúc đã được ghi nhận ở Việt Nam. Gần đây, có nhiều loài tre trúc mới đã được mô tả và ghi nhận phân bố ở Việt Nam [4, 5]. Mặc dù, Việt Nam có nhiều điều kiện thuận lợi để gây trồng, sản xuất và cung cấp nguồn nguyên liệu tre trúc, nhưng chỉ có một số ít loài tre có giá trị kinh tế được trồng trong nước với diện tích khoảng 74 000 hecta, trong khi diện tích rừng tre tự nhiên khoảng 1,4 triệu hecta [6, 7, 8]. Do đó, việc nghiên cứu gây trồng thử nghiệm, phát triển các loài tre trúc tại các vùng trồng mới như khu vực ven biển là điều cần thiết.
Các nghiên cứu gây trồng các loài tre trúc có giá trị kinh tế tập trung ở khu vực miền Bắc, miền Trung. Trong đó chủ yếu là các loài tre trúc lấy măng có năng suất cao như Dendrocalamus asper, D. velutinus, D. brandisii, D. lantiflorus, Bambusa oldhamii [9, 10, 11]. Trong đó, giống Điền Trúc (D. lantiflorus) và Tứ Quý (Bambusa cf. beecheyana) gần đây được trồng nhiều bởi tốc độ sinh trưởng nhanh, thời gian cho măng ngắn và năng suất cao. Nghiên cứu thử nghiệm khả năng thích nghi của một số loài tre trong vùng đất nhiễm mặn ở Cà Mau cho thấy, các loài tre chậm phát triển và không thích hợp với khu vực này [12]. Tuy nhiên, các nghiên cứu trồng tre ở khu vực vùng ven biển Bangladesh lại cho thấy các loài tre có khả năng thích nghi với vùng đất nhiễm mặn ở ven biển [13, 14]. Do đó, việc nghiên cứu khả năng thích nghi của một số loài tre tại các vùng đất nhiễm mặn đặc biệt là vùng đất bị nhiễm mặn ít cần được thực hiện. Cần Giờ là huyện duy nhất của Thành phố Hồ Chí Minh giáp với biển. Trong đó, phần lớn diện tích đất tự nhiên chịu ảnh hưởng của thủy triều/mặn nhiều. Diện tích đất mặn ít chiếm khoảng 10,39% có tiềm năng cho phát triển trồng trọt rau màu và cây ăn quả [15]. Nghiên cứu này nhằm mục tiêu trồng thử nghiệm một số loại tre lấy măng trong khu vực đất nhiễm mặn tại Trạm Nghiên cứu, ứng dụng và thử nghiệm Cần Giờ, Trung tâm Nhiệt đới Việt - Nga, Chi nhánh Phía Nam. Kết quả của nghiên cứu là cơ sở góp phần đa dạng hóa giống cây trồng, tăng hiệu quả sử dụng đất và tạo thêm thu nhập cho cộng đồng dân cư ven biển huyện Cần Giờ.
2. VẬT LIỆU VÀ PHƯƠNG PHÁP NGHIÊN CỨU
2.1. Khu vực nghiên cứu
Nghiên cứu được thực hiện tại Trạm Nghiên cứu, Ứng dụng và Thử nghiệm Cần Giờ nằm tại khu vực Hào Võ, xã Long Hòa, Cần Giờ, Thành phố Hồ Chí Minh có tọa độ địa lý từ 10°27'13.8"N 106°53'31.6"E đến 10°27'30.0"N 106°53'48.9"E. Trạm có diện tích 12 ha, nằm cách bờ biển 4,4 km theo hướng Đông Bắc về Vịnh Gành Rái.
Nghiên cứu được thực hiện tại 3 vị trí có điều kiện đất nhiễm mặn khác nhau: đất không nhiễm mặn (Khu vực A), đất nhiễm mặn ít (Khu vực B) và đất nhiễm mặn trung bình (Khu vực C). Đặc điểm môi trường đất tại các khu vực thí nghiệm được trình bày trong Bảng 1 với các chỉ tiêu phân tích gồm: pH theo TCVN 5979: 2007, độ dẫn điện EC theo SMEWW 2510:2017, độ mặn theo SMEWW 2520 B, C-2017, Nitơ dễ tiêu theo TCVN 5255:2009, Kali dễ tiêu theo TCVN 8662: 2011, Phospho dễ tiêu theo TCVN 5256: 2009, Ca2+ và Mg2+ trong đất theo TCVN 8569: 2010 và chất hữu cơ trong đất theo TCVN 6642: 2000. Mức độ nhiễm mặn của đất được phân loại trên độ dẫn điện của đất theo hệ thống phân loại Abrol và cs. (1988) [16].
- Nghiệm thức 1 (NT1) có độ mặn trung bình: 0,12 ± 0,12 g/kg tại khu vực A
- Nghiệm thức 2 (NT2) có độ mặn trung bình: 1,58 ± 0,39 g/kg tại khu vực B.
- Nghiệm thức 3 (NT3) có độ mặn trung bình: 2,96 ± 0,87 g/kg tại khu vực C.
Bảng 1. Đặc điểm môi trường đất các khu vực trồng thử nghiệm
Khu vực | Đặc điểm môi trường đất trồng thử nghiệm | ||||||||
pH | EC (mS/cm) | Độ mặn (g/kg) | N dễ tiêu (mg/kg) | K dễ tiêu (mg/kg) | P dễ tiêu (mg/kg) | Ca2+ (mg/kg) | Mg2+ (mg/kg) | Chất hữu cơ trong đất (%) | |
A | 6,19 ± 0,12 | 0,23 ± 0,19 | 0,12 ± 0,12 | 68,6 ± 3,51 | 64,07 ± 4,81 | 102,73 ± 6,8 | 229,33 ± 12,32 | 221,67 ± 13,95 | 1,13 ± 0,19 |
B | 5,94 ± 0,22 | 2,86 ± 0,7 | 1,58 ± 0,39 | 39,55 ± 0,97 | 51,1 ± 2,56 | 78,2 ± 7,39 | 240 ± 17,44 | 128,75 ± 7,44 | 0,96 ± 0,07 |
C | 5,21 ± 0,31 | 5,37 ± 1,6 | 2,96 ± 0,87 | 32,33 ± 3,4 | 51,3 ± 3,16 | 62,43 ± 14,34 | 235,33 ± 11,93 | 93,67 ± 6,66 | 0,48 ± 0,14 |
2.2. Thiết kế thí nghiệm
Tre trồng thử nghiệm là loài Điền Trúc (D. latiflorus) và Tứ Quý (Bambusa cf. beecheyana) được mua từ cơ sở giống tại tỉnh Tây Ninh. Loài Điền Trúc và Tứ Quý có chiều cao trung bình lần lượt là 0,55 ± 0,02 m và 0,52 ± 0,03 m, đường kính thân ban đầu lần lượt là 1,26 ± 0,26 cm và 0,81 ± 0,08 cm. Các loài tre được trồng trong các hố có kích thước 60 x 60 x 50 cm, cách nhau 4 x 4 m/hố tương đương khoảng 625 cây/ha. Mỗi nghiệm thức thí nghiệm được trồng với số lượng 15 cây/nghiệm thức và tổng cộng có 45 cây mỗi loài tre thí nghiệm. Các hố trước khi trồng được bón 100 g vôi bột, phơi 2 đến 3 tuần nhằm khử trùng các nguồn gây bệnh cho cây và cân bằng pH của đất. Mỗi hố trồng được bổ sung 5 kg phân chuồng hoai mục, 1,5 kg phân hữu cơ vi sinh và 0,5 kg phân kali. Cây được trồng nghiêng 45o so với mặt đất, gốc đặt cách miệng hố 10-12 cm, cố định cây và phủ kín hố trồng bằng cỏ khô trên bề mặt hố nhằm giữ độ ẩm cho đất. Tre được tưới nước 2 ngày/lần với lượng nước 5 lít nước/hố/lần vào các tháng mùa nắng và thể tích nước được tăng lên khi cây phát triển ra thân mới 7 lít/lần. Các chỉ tiêu sinh trưởng của tre trong các nghiệm thức thí nghiệm bao gồm tỷ lệ sống (%) là tỷ lệ số lượng cây còn sống/tổng số cây thí nghiệm, số cây tre/cụm (cây) là số lượng cây trong 1 cụm (hố) trồng, chiều cao của thân (m) là chiều cao tính từ mặt đất đến ngọn tre cao nhất, đường kính thân tre (cm) là đường kính đốt của cây chính đo sát đất. Thời gian trồng thí nghiệm từ ngày 26/8/2022. Các chỉ tiêu được đánh giá 3 tháng/lần ở các tháng thứ 3, 6 và 9 sau khi trồng.
2.3. Phương pháp xử lý số liệu
Số liệu thu thập được tiến hành phân tích thống kê cơ bản và được trình bày dưới dạng giá trị trung bình (TB) ± Phương sai (SD). Sự sinh trưởng và phát triển của tre giữa các nghiệm thức thí nghiệm được phân tích phương sai một yếu tố và phân tích hậu phương sai bằng phép thử Tukey HSD với mức ý nghĩa p = 0,05 sử dụng phần mềm RStudio version 2021.09.0.
3. KẾT QUẢ VÀ THẢO LUẬN
3.1. Tỷ lệ sống
Tỷ lệ sống và phát triển của các loài tre theo tổng số cây trồng của mỗi loại, ở các nghiệm thức có độ mặn khác nhau có xu hướng giảm theo thời gian; và tỷ lệ sống có xu hướng giảm dần từ nghiệm thức NT1, NT2, đến NT3. Chỉ có duy nhất tre Tứ Quý tại nghiệm thức NT1 có tỷ lệ sống 100% sau 9 tháng trồng thử nghiệm (Bảng 2). Tỷ lệ sống của tre Tứ Quý cao hơn so với Điền Trúc ở các nghiệm thức thí nghiệm. Tuy nhiên, sự khác biệt này không có ý nghĩa thống kê (p-value = 0,33). Xét về tỷ lệ sống theo các nghiệm thức cho thấy không có sự khác biệt về tỷ lệ sống đối với các loài tre Điền Trúc (p-value = 0,068) và Tứ Quý (p-value = 0,053). Nghiên cứu của Đoàn Hữu Nghị (2011) trồng các loài tre Mạnh Tông (D. asper) tại vùng đất nhiễm mặn huyện Cái Nước, tỉnh Cà Mau cho thấy phần lớn các loài D. asper, D. lantiflorus (Điền Trúc) và B. oldhamii đều bị chết vào tháng thứ 8 [12]. Nghiên cứu này ghi nhận độ mặn của nước ao nuôi tôm gần khu vực trồng tre là 3,6-19,7 ‰, phù hợp với mức độ nhiễm mặn của đất từ nhẹ đến trung bình. Kết quả cho thấy tỷ lệ sống của 2 loài tre trong điều kiện đất không nhiễm mặn và nhiễm mặn ít là khá cao đặc biệt là đối với loài tre Tứ Quý. Dựa trên đặc điểm này thì diện tích đất tiềm năng có thể phát triển trồng các loài tre tại Cần Giờ vào khoảng 7322,44 ha tương đương khoảng 10,39% diện tích đất huyện Cần Giờ [15].
Bảng 2. Tỷ lệ sống (%) của các loài tre ở các nghiệm thức độ mặn theo thời gian
Loài tre | 3 tháng | 6 tháng | 9 tháng | ||||||
NT1 | NT2 | NT3 | NT1 | NT2 | NT3 | NT1 | NT2 | NT3 | |
Điền Trúc | 100 | 93,33 | 73,33 | 93,33 | 80 | 53,33 | 86,67 | 60 | 20 |
Tứ Quý | 100 | 93,33 | 86,67 | 100 | 86,67 | 66,67 | 100 | 73,33 | 46,67 |
3.2. Sinh trưởng chiều cao
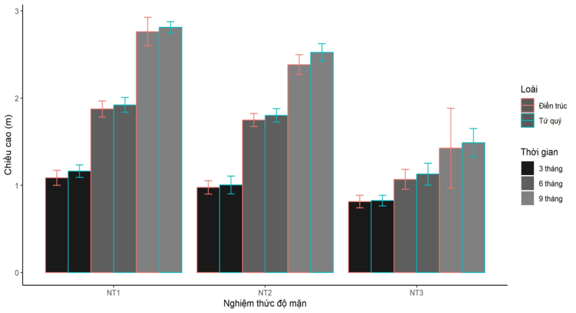
Xét theo thời gian, sau 3 tháng đầu tiên chỉ có sự khác biệt về chiều cao giữa nghiệm thức NT1 so với NT3 (p-value = 0,002). Sau tháng thứ 6 có sự khác biệt giữa nghiệm thức NT1 và NT2 so với NT3 (p-value = 0), nhưng không có sự khác biệt giữa nghiệm thức NT1 và NT2 (p-value = 0,57). Sau 9 tháng trồng, kết quả phân tích phương sai và hậu kiểm định Tukey HSD cho thấy, chiều cao của tre Điền Trúc tại nghiệm thức NT1 (2,76 ± 0,27 m) cao hơn so với NT2 (2,38 ± 0,15 m), cả hai đều cao hơn so với NT3 (1,42 ± 0,19 m), sự khác biệt này có ý nghĩa thống kê (p-value < 0,05) (Hình 1).

Hình 1. Chiều cao các loài tre trồng ở các độ mặn khác nhau theo thời gian
Xét theo thời gian, kết quả tương tự đối với chiều cao của tre Tứ Quý không có sự khác biệt giữa nghiệm thức NT1 và NT2 ở tháng thứ 3 (p-value = 0,09) và thứ 6 (p-value = 0,40). Trong khi đó, có sự khác biệt về chiều cao giữa nghiệm thức NT1 với NT3 và NT2 với NT3 (p-value < 0,05). Sau 9 tháng trồng, chiều cao ở nghiệm thức NT1 (2,81 ± 0,12 m) cao hơn NT2 (2,52 ± 0,15 m), cả 2 đều cao hơn NT3 (1,49 ± 0,18 m) (p-value < 0,05) (Hình 1).
Kết quả nghiên cứu này cho thấy sinh trưởng chiều cao của tre Điền Trúc tại khu vực đất không nhiễm mặn (Khu A) và nhiễm mặn ít (Khu B) sau 9 tháng trồng là cao hơn so với tre trồng ở Cà Mau sau 12 tháng trồng. Tuy nhiên, chiều cao thân tre trồng ở Cà Mau được đo từ măng tre mọc thứ 3 từ mỗi bụi trong khi nghiên cứu này đo chiều cao trực tiếp từ thân tre chính được trồng [12]. Loài tre Tứ Quý là một trong những loài có chiều cao thân cao nhất trong các loài tre [17]. Chiều cao thân của loài Tứ Quý cao hơn so với Điền Trúc sau 9 tháng trồng. Dựa trên các đặc điểm giải phẫu của tre cho thấy chúng đều định hướng theo chiều dọc và chỉ xảy ra trong tăng trưởng chiều dài với tốc độ nhanh. Tuy nhiên các đặc điểm cấu trúc chức năng, đặc tính của sợi giữa các loài tre là khác nhau [18].
3.3. Sinh trưởng đường kính
Kết quả phân tích phương sai và hậu kiểm định cho thấy không có sự khác biệt có ý nghĩa thống kê với loài tre Điền Trúc ở nghiệm thức NT1 và NT2 trong tháng thứ 3 (p-value = 0,10) và tháng thứ 6 (p-value = 0,07). Trong khi đó, đối với loài tre Tứ Quý, không có sự khác biệt có ý nghĩa thống kê về đường kính thân ở nghiệm thức NT1 với NT2 chỉ ở thời điểm tháng thứ 3 (p-value = 0,96). Kết quả sau 9 tháng trồng, có sự khác biệt có ý nghĩa thống kê về đường kính thân của các loài tre (p-value < 0,05). Đối với loài tre Điền Trúc, đường kính thân nghiệm thức NT1 (7,24 ± 0,28 cm) > NT2 (6,59 ± 0,30 cm) > NT3 (4,37 ± 0,08 cm). Tương tự đối với đường kính thân loài tre Tứ Quý ở nghiệm thức NT1 (3,32 ± 0,13 cm) > NT2 (3,09 ± 0,22 cm) > NT3 (1,89 ± 0,08 cm) (Hình 2).

Hình 2. Đường kính các loài tre trồng ở các nghiệm thức khác nhau theo thời gian
Đường kính của tre Điền Trúc sau 9 tháng trồng tại khu vực đất không nhiễm mặn và nhiễm mặn ít của nghiên cứu này lớn hơn so với đường kính trong nghiên cứu trồng ở Cà Mau tại thời điểm 12 tháng trồng. Trong nghiên cứu này chúng tôi đo đường kính thân chính của đốt tre sát gốc trong khi nghiên cứu tại Cà Mau không nêu rõ đốt tre được đo đạc [13]. Kết quả cũng cho thấy đường kính thân của tre Điền Trúc lớn hơn so với Tứ Quý mặc dù trong đặc điểm giải phẫu tế bào sợi và đường kính thành mạch tế bào của 2 loài có chiều dài và chiều rộng gần như tương đương. Các loài thuộc chi Dendrocalamus đặc trưng với chiều dài thân và đường kính thân lớn [18].
3.4. Số lượng cây tre/hố
Kết quả phân tích thống kê cho thấy đối với loài Điền Trúc, không có sự khác biệt có ý nghĩa thống kê giữa các nghiệm thức về số lượng cây tre/hố vào tháng thứ 3 và 6 (p-value > 0,05), ngoại trừ giữa nghiệm thức NT1 với NT3 vào tháng thứ 6 (p-value = 0,13*10-4). Trong khi đó, đối với loài Tứ Quý, trong 3 tháng đầu không có sự khác biệt về số lượng cây tre/hố giữa các nghiệm thức. Đến tháng thứ 6 thì có sự khác biệt về số lượng cây tre/hố giữa nghiệm thức NT1 với NT3 (p-value = 0,26*10-3) và NT1 với NT2 (p-value = 0,036). Kết quả phân tích cho thấy, số lượng cây tre/hố sau 9 tháng trồng ở nghiệm thức NT1 cao hơn NT2 và cả hai đều cao hơn so với NT3 ở cả 2 loài tre có ý nghĩa thống kê (p-value < 0,05). Số lượng cây/hố tại các nghiệm thức với loài Điền Trúc lần lượt là NT1 3,70 ± 0,86, NT2 2,67 ± 0,50, NT3 1,33 ± 0,58 và đối với loài Tứ Quý lần lượt là NT1 5,40 ± 0,83, NT2 3,64 ± 0,67, NT3 2,43 ± 0,54 cây tre/cụm (Hình 3). Số lượng cây tre/hố của 2 loài tre trong nghiên cứu này thấp hơn so với 2 loài B. vulgaris và B. balcooa trồng tại vùng đất nhiễm mặn trung bình tại Bangladesh. Tuy nhiên, thời gian trồng của nghiên cứu này (9 tháng) ít hơn so với nghiên cứu tại Bangladesh (30 tháng) [14]. Sự khác biệt về đặc điểm sinh trưởng này có thể giải thích do sự khác biệt và ảnh hưởng của đặc điểm di truyền và sinh lý học của các loài tre trong các điều kiện môi trường khác nhau [19, 20].

Hình 3. Số lượng măng các loài tre trồng ở các độ mặn khác nhau theo thời gian
4. KẾT LUẬN
Chiều cao cây, đường kính thân và số lượng cây tre/cụm của 2 loài tre Điền Trúc và Tứ Quý ở đất trồng không nhiễm mặn (0,12 ± 0,12 g/kg) lớn hơn so với nghiệm thức đất nhiễm mặn ít (1,58 ± 0,39 g/kg) và đều lớn hơn so với nghiệm thức đất nhiễm mặn trung bình (2,96 ± 0,87 g/kg) có ý nghĩa thống kê (p-value < 0,05) sau 9 tháng trồng.
Tỷ lệ sống của các loài tre có xu hướng giảm theo thời gian và theo sự gia tăng độ nhiễm mặn của đất. Tỷ lệ sống của loài Tứ Quý cao hơn so với loài Điền Trúc. Tuy nhiên, sự khác biệt chưa có ý nghĩa thống kê.
Tài liệu tham khảo
2. Lobovikov M., Ball L., Guardia M., Russo L., World bamboo resources: a thematic study prepared in the framework of the global forest resources assessment 2005, Non-wood forest products 18, FAO, 2007, pp.80. DOI:10.13140/RG.2.1.1042.3764
3. Li W., He S., Research on the utilization and development of bamboo resources through problem analysis and assessment, IOP Conference Series: Earth and Environmental Science, 2019, 052028. DOI 10.1088/1755-1315/300/5/052028
4. Nguyễn Hoàng Nghĩa, Trần Văn Tiến, Kết quả xây dựng danh sách tre trúc Việt Nam, Tạp chí Khoa học Lâm nghiệp, 2007, 1:249-257.
5. Nguyễn Hoàng Nghĩa, Trần Văn Tiến, Tài nguyên tre trúc Việt Nam, Kỷ yếu Hội nghị Khoa học công nghệ Lâm nghiệp khu vực phía Bắc, Nhà xuất bản Nông nghiệp, 2009, tr. 147-157.
6. Van Dam J. E. G., Elbersen H. W., Daza Montaño C. M., Bamboo production for industrial utilization, perennial grasses for bioenergy and bioproducts. production, uses, uustainability and markets for giant reed, miscanthus, switchgrass, reed canary grass and bamboo, Academic Press, 2018, pp. 175-216, 10.1016/b978-0-12-812900-5.00006-0. https://doi.org/10.1016/B978-0-12-812900-5.00006-0
7. Nguyễn Ngọc Bình, Phạm Đức Tuấn, Kỹ thuật tạo rừng tre trúc ở Việt Nam, Nhà xuất bản Nông nghiệp, Hà Nội, 2007, 165 tr.
8. Nguyễn Huy Sơn, Phan Văn Thắng, Lê Văn Thành, Kỹ thuật trồng một số loài tre trúc song mây, Nhà xuất bản Nông nghiệp, Hà Nội, 2013, 140 tr.
9. Nguyễn Thuần, Trồng thử nghiệm tre tàu lấy măng, Báo cáo khoa học, Sở Nông nghiệp và Phát triển nông thôn Phú Yên, 2003, 23 tr.
10. Lê Văn Thành, Xây dựng mô hình sản xuất thử nghiệm cây bương mốc lấy măng ở huyện Sóc Sơn - Hà Nội, Báo cáo tổng kết đề tài cấp Bộ Nông nghiệp & Phát triển nông thôn, 2017, 98 tr.
11. Nguyễn Văn Thọ, Nghiên cứu khai thác và phát triển nguồn gen cây tre ngọt (Dendrocalamus brandisii (Munro) Kurz) tại một số tỉnh miền núi phía Bắc để lấy măng, Báo cáo tổng hợp đề tài cấp Bộ Khoa học và Công nghệ, 2021, 269 tr.
12. Đoàn Hữu Nghị, Trồng và nghiên cứu đặc tính thích nghi của một số giống tre lấy măng tại Cà Mau, Báo cáo đề tài cấp tỉnh Cà Mau, 2011, 49 tr.
13. Islam S. K. A., Miah M. D. A. Q., Hanid M. D. A., and Rasul M. D. G., Growth and development of Babusa vulgaris Schrad. Ex Wendl. Planted in the coastal homesteads of Bangladesh. Bangladesh, Sci., 2015, 41(2):123-129. DOI:10.3329/jasbs.v41i2.46197
14. Miah M. D. A. Q., Moula M. D. G., Azad A. K. M., Dey T., Growth and development of bamboo in the coastal inundated area of Bangladesh, Journal of the Asiatic Society of Bangladesh, Science, 2023, 49(1):55-69. DOI:10.3329/jasbs.v49i1.67595
15. Đinh Đại Gái, Đánh giá thích nghi đất đai huyện Cần Giờ, thành phố Hồ Chí Minh, Tạp chí Khoa học và Công nghệ, Trường Đại học Công nghiệp Tp. Hồ Chí Minh, 2021, 49:175-186.
16. Abrol I. P., Yadav J. S. P., Massoud F. I., Salt-Affected soils and their management, Fao Soils Bulletin 39, Rome, 131 pp.
17. Chen L., Zhang Y., Fan L., Chen L., He T., Zheng Y., The complete chloroplast genome sequence of Bambusa beecheyana var. pubescens (Bambusodae), Mitochondrial DNA part B Resources, 2020, 5(3):3467-3468. DOI: 10.1080/23802359.2020.1823275
18. Rusch F., Ceolin G. B., Hillig E., Morphology, density and dimensions of bamboo fibers: a bibliographical compilation, Pesquisa Agropecuária Tropical, 2019, 49:1-9. Doi.org/10.1590/1983-40632019v4955007.
19. Pulavarty A., Sarangi B. K., Screening bamboo species for salt tolerance using growth parameters, physiological response and osmolytes accumulation as effective indicators, Chemistry and Ecology, 2018, 34(4):1-15.
https://doi.org/10.1080/02757540.2018.1427227
20. Gaikwad A. S., Thite M., Ingle S., Rananavare A., Effect of different bamboo species on growth attributing characters grown on Entisol of semi-arid climate, The Pharma Innovation Journal, 2021, 10(12):1980-1985.
DOI:10.22271/tpi.2021.v10.i12Saa.9910