MỘT SỐ HỢP CHẤT PHENOLIC TỪ LÁ DỨA THƠM (PANDANUS AMARYLLIFOLIUS)
Trung tâm Nghiên cứu và Phát triển Công nghệ cao, Viện Hàn lâm Khoa học và Công nghệ Việt Nam
số 18 Hoàng Quốc Việt, Cầu Giấy, Hà Nội
Số điện thoại: 0936401456; Email: ntdat@chtd.vast.vn
Nội dung chính của bài viết
Tóm tắt (Abstract)
Bằng các phương pháp sắc ký, bốn hợp chất phenolic bao gồm vanillin (1), vanillic acid (2), p-hydroxybenzaldehyde (3) và methyl gallate (4) được phân lập từ lá dứa thơm (Pandanus amaryllifolius). Cấu trúc của các hợp chất được xác định dựa vào các dữ liệu phổ cộng hưởng từ hạt nhân (NMR) và khối phổ (MS). Đây là lần đầu tiên, các hợp chất này được phát hiện từ loài dứa thơm (Pandanus amaryllifolius).
Abstract
Four phenolic compounds such as vanillin (1), vanillic acid (2), p-hydroxybenzaldehyde (3), and methyl gallate (4) were isolated from leaves of Pandanus amaryllifolius, using chromatographic methods. Structures of the isolated compounds were elucidated by spectroscopic data, such as NMR and MS. These four compounds were determined for the first time from the species Pandanus amaryllifolius.
Từ khóa (Keywords)
Pandanus, dứa thơm, phenolic, vanillin, methyl gallate
Chi tiết bài viết
Điểm nổi bật
Lần đầu tiên, bốn hợp chất phenolic gồm vanillin, vanillic acid, p-hydroxybenzaldehyde và methyl gallate được phát hiện từ lá dứa thơm (Pandanus amaryllifolius).
Các hợp chất được phân lập bằng các phương pháp sắc ký và xác định cấu trúc bằng các phương pháp phổ hiện đại.
1. ĐẶT VẤN ĐỀ
Dứa thơm (Pandanus amaryllifolius Roxb) là một loại cây mọc phổ biến tại các quốc gia nhiệt đới và cận nhiệt đới [1, 2]. Ở Việt Nam, lá dứa thơm thường được sử dụng làm thực phẩm, hương liệu, trà nhờ mùi thơm đặc trưng và vị thanh mát. Trong y học cổ truyền, lá dứa còn được dùng để làm dịu đau khớp, giảm đường huyết và hỗ trợ hệ tiêu hóa [1-3]. Các nghiên cứu trước đây về thành phần hoá học cho thấy lá dứa thơm chứa nhiều các alkaloid khung pandamarilactone, pandanamine, pandanusine [4-6]. Các thành phần hoá học của lá dứa thơm thể hiện nhiều hoạt tính sinh học quý như chống oxi hoá [7], kháng khuẩn [8], gây độc tế bào ung thư [9]… Các nghiên cứu trên lá dứa thơm chủ yếu tập trung vào thành phần các alkaloid, trong khi không có nhiều nghiên cứu về các nhóm hợp chất khác được công bố [10]. Trong một nghiên cứu gần đây, chúng tôi đã phân lập được một số hợp chất shikimate ester, megastigmane và glycoside từ lá dứa thơm [11]. Trong nghiên cứu này, chúng tôi trình bày kết quả phân lập và xác định cấu trúc của bốn hợp chất phenolic từ cặn chiết không alkaloid của lá dứa thơm gồm vanillin, vanillic acid, p-hydroxybenzaldehyde và methyl gallate.
2. PHƯƠNG PHÁP NGHIÊN CỨU VÀ THỰC NGHIỆM
2.1. Mẫu nghiên cứu
Phần lá của cây dứa thơm (P. amaryllifolius) được thu hái tại Tam Đảo, Vĩnh Phúc vào tháng 04 năm 2021 và được giám định bởi TS. Bùi Văn Thanh, Viện Sinh thái và Tài nguyên sinh vật. Mẫu tiêu bản được lưu trữ tại Trung tâm Nghiên cứu Nông dược, Trung tâm Nghiên cứu và Phát triển Công nghệ cao, Viện Hàn lâm Khoa học và Công nghệ Việt Nam.
2.2. Vật liệu và phương pháp nghiên cứu
Sắc ký lớp mỏng được thực hiện trên bản mỏng tráng sẵn TLC Silica gel 60 F254 (Merck). Sắc ký cột được thực hiện với các vật liệu hấp phụ Silica gel 60 có kích thước hạt 0,040-0,063 mm (240-430 mesh ASTM) (Merck, CHLB Đức); LiChroprep® RP-18 (0,040-0,063 mm) (Merck, CHLB Đức); Diaion HP-20 (Merck, CHLB Đức). Phổ cộng hưởng từ hạt nhân được đo trên máy Brucker Avance 600 MHz (chất chuẩn nội là Tetramethylsilane - TMS) tại Viện Hóa học, Viện Hàn lâm Khoa học và Công nghệ Việt Nam. Phổ ESI-MS được đo trên thiết bị Thermo LCQ Fleet LC/MS tại Trung tâm Nghiên cứu và Phát triển Công nghệ cao, Viện Hàn lâm Khoa học và Công nghệ Việt Nam.
2.3. Phân lập các chất
Phần lá của loài P. amaryllifolius được xử lý và chiết xuất bằng phương pháp acid-base để tách riêng phần cặn chiết chứa alkaloid và phần cặn chiết không chứa alkaloid (PamNA) như đã trình bày trong công bố trước [11]. Phân đoạn PamNA (24,6 g) được phân tách trên cột sắc ký Diaion HP-20, với dung môi giải hấp lần lượt là với nước cất, methanol 30% và 100% thu được các phân đoạn M30W (3,2 g) và M100W (8,1 g). Phân đoạn M100W được tách trên cột sắc ký silica gel với gradient dung môi CH2Cl2-MeOH (50/1-1/1, v/v) thu được mười phân đoạn M1-M10. Phân đoạn M6 (55,6 mg) được phân tách trên cột sắc ký silica gel với hệ dung môi rửa giải CH2Cl2-MeOH (20/1, v/v) thu được hợp chất 1 (2,8 mg). Phân đoạn M7 (158,5 mg) được phân tách trên cột sắc ký RP-C18 với hệ dung môi rửa giải MeOH-H2O (2/1, v/v) thu được hai hợp chất 2 (1,1 mg) và 3 (3,2 mg). Phân đoạn M9 (202,5 mg) được phân tách trên cột sắc ký silica gel với hệ dung môi rửa giải EA-MeOH (10/1, v/v) thu được hợp chất 4 (3,4 mg).
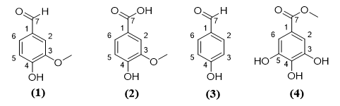
Vanillin (1): ESI-MS: m/z 153 [M+H]+; 1H NMR (DMSO-d6, 600 MHz): δH 7,38 (1H, d, J = 1,8 Hz, H-2); 6,96 (1H, d, J = 8,4 Hz, H-5); 7,43 (1H, dd, J = 8,4; 1,8 Hz, H-6); 9,77 (1H, s, H-7); 3,92 (3H, s, 3-OCH3); 10,24 (1H, brs, 4-OH); 13C NMR (CDCl3, 150 MHz): δC 128,7 (C-1); 126,0 (C-2); 148,2 (C-3); 153,0 (C-4); 110,7 (C-5); 115,4 (C-6); 191,0 (C-7); 55,6 (3-OCH3).
Vanillic acid (2): ESI-MS: m/z 169 [M+H]+; 1H NMR (CD3OD, 600 MHz): δH 7,58 (1H, d, J = 2,4 Hz, H-2); 6,85 (1H, d, J = 9,0 Hz, H-5); 7,57 (1H, dd, J = 9,0; 2,4 Hz, H-6); 3,92 (3H, s, 3-OCH3). 13C NMR (CDCl3, 150 MHz): δC 121,6 (C-1); 125,3 (C-2); 148,7 (C-3); 154,6 (C-4); 113,9 (C-5); 115,9 (C-6); 170,0 (C-7); 56,4 (3-OCH3).
p-hydroxybenzaldehyde (3): ESI-MS: m/z 123 [M+H]+; 1H NMR (DMSO-d6, 600 MHz): δH 6,88 (2H, d, J = 7,2 Hz, H-2, 6); 7,76 (2H, d, J = 7,2 Hz, H-3, 5); 9,72 (1H, s). 13C NMR (DMSO-d6, 150 MHz): δC 129,1 (C-1); 132,8 (C-2, 6); 116,5 (C-3, 5); 163,9 (C-4); 191,8 (C-7).
Methyl gallate (4): ESI-MS: m/z 185 [M+H]+.1H NMR (CD3OD, 600 MHz): δH 7,06 (2H, s, H-2, 6); 3,83 (3H, s, 7-OCH3). 13C NMR (CD3OD, 150 MHz): δC 121,5 (C-1); 110,1 (C-2, 6); 146,5 (C-3, 5); 139,8 (C-4); 169,0 (C-7); 52,3 (7-OCH3).
3. KẾT QUẢ VÀ THẢO LUẬN
Hợp chất 1 thu được dưới dạng chất rắn vô định hình màu trắng. Phổ ESI-MS xuất hiện tín hiệu m/z 153 [M+H]+ cho phép xác định khối lượng phân tử của hợp chất là 152 Da. Phổ 1H-NMR của 1 xuất hiện tín hiệu của các proton thuộc hệ vòng thơm ABX tại δH7,38(1H, d, J = 1,8 Hz, H-2); 6,96 (1H, d, J = 8,4 Hz, H-5); 7,43 (1H, dd, J = 8,4; 1,8 Hz, H-6), một tín hiệu methoxy tại δH3,92 (3H, s, 3-OCH3), một tín hiệu nhóm hydroxy tại δH 10,24 (1H, brs, 4-OH) và một tín hiệu proton thuộc nhóm aldehyde tại δH 9,77 (1H, s, H-7). Phổ 13C NMR và DEPT xuất hiện tín hiệu carbon aldehyde tại δC 191,0 (C-7), ba tín hiệu nhóm CH thuộc vòng thơm tại δC 126,0 (C-2), 110,7 (C-5) và 115,4 (C-6), hai tín hiệu carbon vòng thơm liên kết với oxy tại δC 148,2 (C-3); 153,0 (C-4) và một nhóm methoxy tại 55,6 (3-OCH3). Các dữ liệu phổ nói trên cho phép dự đoán cấu trúc của một dẫn xuất benzaldehyde. So sánh các dữ liệu này với tài liệu tham khảo, có thể xác định hợp chất 1 là vanillin [12].

Hình 1. Cấu trúc hoá học của các hợp chất 1-4
Hợp chất 2 thu được dưới dạng chất rắn vô định hình màu trắng. Phổ ESI-MS xuất hiện tín hiệu m/z 169 [M+H]+ cho phép xác định khối lượng phân tử 168 Da của 2. Phổ 1H-NMR của 2 xuất hiện tín hiệu của các proton thuộc hệ vòng thơm ABX tại δH7,58 (1H, d, J = 2,4 Hz, H-2); 6,85 (1H, d, J = 9,0 Hz, H-5); 7,57 (1H, dd, J = 9,0; 2,4 Hz, H-6), một tín hiệu methoxy tại δH3,92 (3H, s, OCH3). Phổ 13C NMR và DEPT xuất hiện tín hiệu nhóm carboxyl tại δC 170,0 (C-7), ba tín hiệu nhóm methine vòng thơm tại δC 125,3 (C-2), 113,9 (C-5), 115,9 (C-6), hai tín hiệu carbon vòng thơm liên kết với oxy tại δC 148,7 (C-3), 154,6 (C-4) và một nhóm methoxy tại 56,4 (3-OCH3). Dữ liệu phổ của hợp chất 2 hầu như tương đồng với hợp chất 1 ngoại trừ sự khác biệt giữa tín hiệu nhóm carboxyl ở hợp chất 2 so với nhóm aldehyde ở hợp chất 1. Điều này được khẳng định thông qua chênh lệch 16 Da trong khối lượng phân tử giữa hai hợp chất. Từ các dữ liệu trên, kết hợp với các dữ liệu tham khảo, xác định hợp chất 2 là vanillic acid [12].
Hợp chất 3 thu được dưới dạng chất rắn vô định hình màu trắng với khối lượng phân tử 122 Da thông qua tín hiệu m/z 123 [M+H]+ trên phổ ESI-MS. Phổ 1H-NMR của hợp chất 3 xuất hiện tín hiệu của bốn proton thuộc hệ vòng thơm A2B2 tại δH6,88 (2H, d, J = 7,2 Hz, H-2, 6); 7,76 (2H, d, J = 7,2 Hz, H-3, 5) và một tín hiệu proton thuộc nhóm aldehyde tại δH 9,72 (1H, s, H-7). Phổ 13C NMR và DEPT xuất hiện tín hiệu carbon aldehyde tại δC 191,8 (C-7), các tín hiệu nhóm methine trong vòng thơm tại δC 132,8 (C-2, 6); 116,5 (C-3, 5) và một tín hiệu carbon vòng thơm liên kết trực tiếp với oxy tại δC 163,9 (C-4). So sánh dữ liệu phổ trên với tài liệu tham khảo, có thể xác định hợp chất 3 là p-hydroxybenzaldehyde [13]
Hợp chất 4 thu được dưới dạng chất rắn vô định hình màu trắng. Phổ ESI-MS xuất hiện tín hiệu m/z 185 [M+H]+ cho phép xác định khối lượng phân tử của hợp chất là 184 Da. Trên phổ 1H NMR của 4 xuất hiện tín hiệu của hai proton thơm đối xứng nhau tại δH 7,06 (2H, s, H-2, 6) và một nhóm methoxy tại δH 3,83 (3H, s, 7-OCH3). Phổ 13C NMR và DEPT xuất hiện tín hiệu của carbon methine vòng thơm tại δC 110,1 (C-2, 6), tín hiệu của hai carbon thơm liên kết với oxy đối xứng nhau tại δC 146,5 (C-3, 5), và một carbon thơm liên kết với oxy tại δC139,8 (C-4) và một nhóm methoxy tại δC 52,3 (7-OCH3). So sánh dữ liệu phổ NMR của hợp chất 4 với tài liệu tham khảo cho phép xác định đây là hợp chất methyl gallate [14].
Như vậy, từ cặn chiết không chứa alkaloid từ lá dứa thơm (P. amaryllifolius) chúng tôi đã phân lập được bốn hợp chất phenolic. Các nghiên cứu trước đây tập trung chủ yếu vào thành phần alkaloid của lá dứa thơm [4, 5, 15, 16]. Bên cạnh đó, một số hợp chất phenolic như p-hydroxybenzoic acid, gallic acid, ferulic acid, coumaric acid… cũng từng được phát hiện từ rễ và lá của loài P. amaryllifolius [9]. Mặc dù vậy, công bố này là lần đầu tiên phát hiện bốn hợp chất gồm vanillin (1), vanillic acid (2), p-hydroxybenzaldehyde (3), methyl gallate (4) từ lá dứa thơm (P. amaryllifolius). Các hợp chất này đã được chứng minh là có hoạt tính thu dọn nhiều loại gốc tự do như DPPH, ABTS, OH… [17, 18] hoặc hoạt tính kháng khuẩn [19], kháng virus [20]… Phát hiện này góp phần làm giàu thêm các thông tin về thành phần hoá học của loài thực vật này, đồng thời cho thấy tiềm năng lớn về khả năng chống gốc tự do, chống oxi hoá và nhiều hoạt tính sinh học khác của lá dứa thơm.
4. KẾT LUẬN
Từ phần lá của cây dứa thơm P. amaryllifolius, bốn hợp chất phenolic là vanillin (1), vanillic acid (2), p-hydroxybenzaldehyde (3), methyl gallate (4) đã được phân lập. Đây là lần đầu tiên các hợp chất này được tìm thấy trong thành phần hoá học của lá dứa thơm. Kết quả của nghiên cứu này góp phần làm sáng tỏ thêm về thành phần của lá dứa thơm, làm cơ sở cho các nghiên cứu sâu hơn về tác dụng của loại nguyên liệu thực phẩm này đối với sức khoẻ con người.
Lời cảm ơn: Nghiên cứu này được thực hiện với sự hỗ trợ của Viện Hàn lâm Khoa học và Công nghệ Việt Nam trong khuôn khổ nhiệm vụ "Phát triển nhóm nghiên cứu xuất sắc hạng I về ứng dụng các phương pháp phân tích hiện đại trong nghiên cứu chất lượng và an toàn thực phẩm", mã số: NCXS01.02/23-25.
Tuyên bố về đóng góp của các tác giả: Đỗ Hoàng Giang, Nguyễn Thị Thu Thuỷ: Xây dựng tổng quan, soạn bản thảo bài báo. Nguyễn Tiến Đạt: Rà soát và chịu trách nhiệm nội dung bài báo. Ngô Thị Thuý Ngân, Nguyễn Hải Đăng: Thu thập mẫu nghiên cứu. Hoàng Thuỳ Dương: Xử lý mẫu sau khi thu thập. Lưu Hải Nhi: Chiết xuất mẫu. Bùi Thị Nhật Lệ: Phân lập các hợp chất bằng các phương pháp sắc ký. Nguyễn Ngọc Tùng, Hoàng Lê Tuấn Anh: Giải cấu trúc của các hợp chất đã phân lập.
Tài liệu tham khảo
2. Phạm Hoàng Hộ, Cây cỏ Việt Nam. NXB Trẻ, Hà Nội, 2003, tr. 134.
3. Đỗ Huy Bích et al., Cây thuốc và động vật làm thuốc ở Việt Nam. NXB Khoa học và Kỹ thuật, Hà Nội, 2006, tr. 355.
4. H. Takayama, T. Ichikawa, M. Kitajima, M. G. Nonato and N. Aimi, A new alkaloid, pandanamine; finding of an anticipated biogenetic intermediate in Pandanus amaryllifolius Roxb, Tetrahedron Letters, Vol. 42, No. 16, pp: 2995-2996, 2001.
5. H. Takayama, T. Ichikawa, M. Kitajima, M. G. Nonato and N. Aimi, Isolation and Structure elucidation of two new alkaloids, Pandamarilactonine-C and -D, from Pandanus amaryllifolius and revision of relative stereochemistry of Pandamarilactonine-A and -B by total synthesis, Chemical and Pharmaceutical Bulletin, Vol. 50, No. 9, pp: 1303-1304, 2002.
6. A. N. H. Azhar, N. A. Amran, S. Yusup and M. H. Mohd Yusoff, Ultrasonic extraction of 2-Acetyl-1-Pyrroline (2AP) from Pandanus amaryllifolius Roxb. using ethanol as solvent, Molecules, Vol. 27, No. 15, pp: 4906, 2022.
7. N. S. Musa, N. M. Ramli, J. Saidin and Y. Andriani, Antioxidant and cytotoxicity properties of ethyl acetate fractions of Pandanus tectorius fruit against HeLa cell lines, ALOTROP Jurnal Pendidikan dan Ilmu Kimia, 2017, Vol. 1, No. 2, pp:106-112, 2017.
8. N. Asyikin Md Zaki, S. Abd Hashib, U. Kalthum Ibrahim and P. Ani Narisa Ahmad Bakhtiar, Total phenolic content and antioxidant activity of Pandanus amaryllifolius by soaking and microwave-assisted extraction, IOP Conference Series: Materials Science and Engineering, Vol. 778, No. 1, pp: 012155, 2020.
9. A. Ghasemzadeh, H. Z. E. Jaafar, Profiling of phenolic compounds and their antioxidant and anticancer activities in pandan (Pandanus amaryllifolius Roxb.) extracts from different locations of Malaysia, BMC Complementary and Alternative Medicine, Vol. 13, No. 1, pp: 341, 2013.
10. W. Wang et al., Botany, phytochemistry, pharmacology, and applications of Pandanus amaryllifolius Roxb.: A review, Fitoterapia, Vol 177, pp: 106144, 2024.
11. Đỗ Hoàng Giang et al., Một số hợp chất shikimate ester, megastigmane và glycoside từ lá dứa thơm (Pandanus amaryllifolius), Tạp chí Khoa học và Công nghệ Nhiệt đới, 2024, Vol 35, No. 9, pp: 82-88, 2024.
12. J. S. Challice, R. S. T. Loeffler and A. H. Williams, Structure of calleryanin and its benzylic esters from Pyrus and Prunus, Phytochemistry, Vol. 19, No. 11, pp: 2435-2437, 1980.
13. J. Magano, M. H. Chen, J. D. Clark and T. Nussbaumer, 2-(Diethylamino) ethanethiol, a new reagent for the odorless deprotection of aromatic methyl ethers, The Journal of Organic Chemistry, Vol. 71, No. 18, pp: 7103-7105, 2006.
14. R. Subramanian, M. Chandra, S. Yogapriya, S. Aravindh and K. Ponmurugan, Isolation of methyl gallate from mango twigs and its anti-biofilm activity, Journal of Biologically Active Products from Nature, Vol. 6, No. 5-6, pp: 383-392, 2016.
15. H. Takayama, T. Ichikawa, M. Kitajima, M. G. Nonato and N. Aimi, Isolation and characterization of two new alkaloids, norpandamarilactonine-A and -B, from Pandanus amaryllifolius by spectroscopic and synthetic methods, Journal of Natural Products, Vol. 64, No. 9, pp: 1224-1225, 2001.
16. M. A. Tan, M. Kitajima, N. Kogure, M. G. Nonato and H. Takayama, Isolation of Pandamarilactonine-H from the Roots of Pandanus amaryllifolius and synthesis of epi-Pandamarilactonine-H, Journal of Natural Products, Vol. 73, No. 8, pp: 1453-1455, 2010.
17. A. Tai, T. Sawano, F. Yazama and H. Ito, Evaluation of antioxidant activity of vanillin by using multiple antioxidant assays, Biochimica et Biophysica Acta (BBA) - General Subjects, Vol. 1810, No. 2, pp: 170-177, 2011.
18. A. Tai, T. Sawano and H. Ito, Antioxidative properties of vanillic acid esters in multiple antioxidant assays, Bioscience, Biotechnology, and Biochemistry, Vol. 76, No. 2, pp: 314-318, 2012.
19. O. Flores-Maldonado, J. Dávila-Aviña, G.M. González, M. A. Becerril-García and A.L. Ríos-López, Antibacterial activity of gallic acid and methyl gallate against emerging non-fermenting bacilli, Folia Microbiologica, 2024, Online ahead of print.
20. C. R. Wang, R. Zhou, T. B. Ng, J. H. Wong, W. T. Qiao and F. Liu, First report on isolation of methyl gallate with antioxidant, anti-HIV-1 and HIV-1 enzyme inhibitory activities from a mushroom (Pholiota adiposa), Environmental Toxicology and Pharmacology, Vol 37, No 2, pp: 626-637, 2014.