NÂNG CAO HIỆU QUẢ GIỮ NƯỚC, DINH DƯỠNG CỦA CÁT SAN HÔ BẰNG CHẾ PHẨM VI SINH VẬT SINH MÀNG NHẦY POLYSACCHARIDE VÀ VI SINH VẬT HỮU ÍCH CHỊU MẶN
Phân viện Công nghệ sinh học, Trung tâm Nhiệt đới Việt - Nga
63 Nguyễn Văn Huyên, Nghĩa Đô, Cầu Giấy, Hà Nội
Số điện thoại: 0362439380; Email: tinhdk2k48@gmail.com
Nội dung chính của bài viết
Tóm tắt (Abstract)
Cát san hô tồn tại những đặc tính không thuận lợi cho cây trồng như pH tương đối cao khoảng 8-9, độ xốp thấp chỉ đạt 37-38%, có hàm lượng dinh dưỡng kém, khả năng giữ nước hạn chế với độ trữ ẩm đồng ruộng chỉ đạt 16-17%, hạn chế khả năng sinh trưởng và phát triển của rau xanh và cây trồng. Trong nghiên cứu này, hỗn hợp vi sinh vật sinh màng nhầy polysaccharide, vi sinh vật hữu ích và chất độn hữu cơ được sử dụng để cải tạo cát san hô, tăng khả năng giữ nước, đồng thời bổ sung nguồn dinh dưỡng cần thiết cho cây trồng. Kết quả cho thấy sau quá trình cải tạo, khả năng liên kết giữa các hạt cát được cải thiện rõ rệt. Diện tích bề mặt riêng của cát tăng lên 3,6 lần sau cải tạo, đồng thời xuất hiện nhiều lỗ xốp có kích thước 2-12 nm giúp giữ nước, giữ dinh dưỡng. Thành phần nước trong cát sau cải tạo cao nhất là 1,57% ở cát sau canh tác vụ 1, tăng 2,6 lần so với cát ban đầu, lượng chất hữu cơ, muối nitrat và hàm lượng khoáng chất cũng tăng lên đáng kể. Cát sau cải tạo cho năng suất rau cải tăng mạnh so với cát trước cải tạo, mồng tơi tăng gấp 4-5 lần so với cát trước cải tạo và đạt tương đương so với đất canh tác thường. Những kết quả này chứng minh rằng có thể cải tạo cát san hô thành đất canh tác có hiệu quả giữ nước và giữ dinh dưỡng tốt, góp phần quan trọng thúc đẩy sự phát triển của cây trồng.
Abstract
Coral sand possesses several unfavorable characteristics for plant cultivation, such as a relatively high pH of approximately 8-9, low porosity of only 37-38%, poor nutrient content, and limited water retention capacity, with a field moisture-holding rate of only 16 - 17%. These factors create significant challenges for growing vegetables and other plants. To address these limitations, the research team applied a combination of polysaccharide biofilm-producing microorganisms, beneficial microorganisms, and organic amendments to improve the properties of coral sand. The biofilm-producing microorganisms enhance adhesion between sand particles and organic amendments, increasing water retention, moisture content, and soil aeration. After the remediation process, significant improvements were observed in the cohesion of sand particles, soil structure stability, and overall physical and nutritional properties. Additionally, there was a marked increase in essential nutrients and minerals such as aluminum (Al), iron (Fe), and magnesium (Mg). The specific surface area of the amended sand increased by 3.6 times compared to the original, and numerous pores with diameters ranging from 2 to 12 nm appeared, facilitating water and nutrient retention. The water content of the treated sand reached a peak of 1.57% in the first cultivation cycle, 2.6 times higher than that of untreated sand. Organic matter and nitrate levels also significantly increased. Crop yields, particularly of mustard greens, improved markedly in the amended sand, while the Malabar spinach yield increased by 4–5 times compared to the untreated sand. These findings demonstrate that coral sand can be effectively transformed into arable soil with enhanced water and nutrient retention, playing a crucial role in promoting plant growth and sustainable cultivation.
Từ khóa (Keywords)
Cát san hô, cải tạo, dinh dưỡng, giữ nước, độ xốp, đất canh tác, Coral sand, reclamation, nutrition, water retention, porosity, arable land
Chi tiết bài viết
Điểm nổi bật
Cát san hô có pH cao, độ xốp thấp, giữ nước và dinh dưỡng kém, hạn chế sự phát triển của cây trồng.
Sử dụng vi sinh vật màng nhầy polysaccharide và chất độn hữu cơ để cải tạo cát san hô dẫn đến làm tăng liên kết hạt cát, tạo lỗ xốp giữ nước và dinh dưỡng.
Sau cải tạo cát san hô, hàm lượng nước đã tăng 2,6 lần, dinh dưỡng được cải thiện, năng suất rau tăng 4-6 lần tương đương với đất canh tác.
1. ĐẶT VẤN ĐỀ
Đất đảo ở Việt Nam đặc biệt với đảo xa bờ chủ yếu gồm đất cát ven biển. Loại đất này có đặc điểm là thành phần cơ học thô với 80-85% cát, chủ yếu là cát san hô. Đặc điểm của cát san hô là độ pH tương đối cao khoảng 8-9, độ xốp thấp chỉ đạt 37-38%, hàm lượng dinh dưỡng kém, khả năng giữ nước hạn chế với độ trữ ẩm đồng ruộng chỉ đạt 16-17%, không thích hợp cho trồng trọt và canh tác [1]. Chính vì thế việc nâng cao hiệu quả giữ nước, dinh dưỡng để cải tạo cát san hô thành đất canh tác có ý nghĩa cấp thiết cả về kinh tế lẫn an ninh quốc gia. Để thực hiện mục đích trên, cần phải có những công nghệ mang tính đột phá, thân thiện môi trường và hiệu quả cao.
Nhiều công nghệ đã được phát triển nhằm cải thiện độ phì nhiêu của cát, chủ yếu thông qua việc tăng cường khả năng giữ ẩm và duy trì chất dinh dưỡng. Các phương pháp này bao gồm việc cải thiện các đặc tính lý hóa của đất, như tăng mật độ khối, độ xốp, cũng như khả năng giữ và trao đổi nước, cùng với việc bổ sung chất hữu cơ. Các vật liệu phổ biến được sử dụng để nâng cao chất lượng và cải thiện độ màu mỡ của đất bao gồm các chất hữu cơ và than hoạt tính [2]. Tuy nhiên, trong các vùng có điều kiện khắc nghiệt như đảo hoặc ven biển, quá trình phân hủy và khoáng hóa chất hữu cơ thường diễn ra nhanh chóng, khiến cho hiệu quả của những vật liệu này bị giảm sút [3]. Do đó, việc lựa chọn công nghệ thích hợp để cải tạo cát san hô thành đất canh tác vẫn là một thách thức lớn đối với ngành nông nghiệp [4].
Hiện nay, các nhóm vi sinh vật sinh màng nhầy polysaccharide đã và đang được nghiên cứu và ứng dụng cho quá trình cải tạo đất trồng [5]. Những vi sinh vật này đóng vai trò quan trọng trong việc hình thành và duy trì sự ổn định của cấu trúc đất [6, 7]. Trong quá trình sinh trưởng và phát triển, các polysaccharide ngoại bào được tổng hợp và tiết vào trong đất tạo thành chất nhầy và vỏ bao có thể được hấp phụ bởi bề mặt đất, sau đó hình thành các cấu trúc đất liên kết ổn định [5, 8, 9]. Ngoài ra, sự kết dính giữa các hạt cát và các thành phần chất độn giúp tăng khả năng giữ nước tạo độ ẩm, tơi xốp, bổ sung và duy trì dinh dưỡng [5]. Từ đó, giúp cây trồng sinh trưởng và phát triển mạnh hơn.
Trong nghiên cứu này, đất cát san hô được cải tạo bằng cách sử dụng chế phẩm vi sinh vật hữu ích chịu mặn NPC, chế phẩm vi sinh vật sinh màng nhầy polysaccharide chịu mặn BTS kết hợp với chất độn hữu cơ và bổ sung trực tiếp vào cát.
2. VẬT LIỆU VÀ PHƯƠNG PHÁP
2.1. Vật liệu
Cát san hô: pH 8,15; EC 212,3 µS/cm; tỷ trọng 2,09 g/cm3; độ xốp 37,46%; xuất xứ: Trường Sa, Khánh Hoà.
Chế phẩm vi sinh vật hữu ích chịu mặn NPC: Chứa vi sinh vật có khả năng cố định đạm (Azotobacter sp. TSL B1.2), phân giải phosphat (Pseudomonas sp. TSĐ-B5.7), phân hủy cellulose (Bacillus sp. DTA-B3.1), mật độ vi sinh vật hữu ích mỗi loại đạt ≥ 107 CFU/g, độ ẩm ≤ 15%. Chế phẩm do Phân viện Công nghệ sinh học/ Trung tâm Nhiệt đới Việt - Nga nghiên cứu phát triển.
Chế phẩm vi sinh vật sinh màng nhầy polysaccharide chịu mặn BTS: Chứa vi khuẩn Bacillus velezensis TSD5, nấm men Meyerozyma guilliermondii DTA-Y5.8 có khả năng sinh màng nhầy polysaccharide, mật độ ≥ 107 CFU/g, độ ẩm ≤ 15%. Chế phẩm do Phân viện Công nghệ sinh học/ Trung tâm Nhiệt đới Việt - Nga nghiên cứu phát triển.
Chất độn hữu cơ: được kết hợp từ các thành phần như bã bùn mía, phân bò ủ hoai và trấu hun và đưa vào sử dụng với các thông số kỹ thuật sau: Tỷ trọng 1,28 g/cm³; độ xốp dao động từ 70 - 75%; EC: 0,705 mS/cm; pH 7-7,5; chỉ số N, P, K đạt 3% ± 0,2%.
Các giống rau được sử dụng: Cải bẹ xanh tên khoa học là Brassica juncea, Mồng tơi tên khoa học là Basella alba xuất xứ từ Công ty Phú Nông.
2.2. Phương pháp nghiên cứu
2.2.1 Quy trình cải tạo cát san hô
Cát san hô không lẫn các loại rác thải, xác động vật và các thành phần tạp chất khác được tiến hành đập nhỏ sơ bộ. Hỗn hợp sau khi đập được sàng với lưới có kích thước mắt 5 mm, phần không lọt sàng được tiến hành đập và nghiền lại.
Tạo đống ủ lên men: Trộn đều chế phẩm vi sinh vật sinh màng nhầy polysaccharide và vi sinh vật có ích vào chất độn hữu cơ, sau đó tiến hành ủ lên men trong thời gian 7 ngày. Sau khi kết thúc giai đoạn ủ đầu tiên, hỗn hợp được trộn đều với cát san hô và bổ sung nước để điều chỉnh độ ẩm đạt mức từ 40% đến 45%. Đống ủ sau đó được phủ bạt kín và tiếp tục ủ trong 10 ngày. Kết thúc quá trình ủ, tiến hành đánh luống và đưa vào sử dụng để trồng rau.
Tỷ lệ các thành phần cải tạo như sau: các chế phẩm vi sinh vật sinh màng nhầy polysaccharide, vi sinh vật hữu ích: 0,5% mỗi loại, chất độn hữu cơ là 10% (w/w), còn lại là cát san hô và phụ gia khác.
2.2.2 Đánh giá cấu trúc hình thái của cát san hô
Cách lấy mẫu đất
Các mẫu đất được lấy ở các thời điểm đầu vụ và cuối vụ, vị trí lấy mẫu ở các vị trí khác nhau giữa luống, ở độ sâu 10-20 cm.
Kỹ thuật lấy mẫu: Sử dụng dụng cụ lấy lõi đất bằng sắt, lấy một lượng đất như nhau cho mỗi mẫu đảm bảo các mẫu có kích thước tương đương nhau để dễ dàng so sánh.
Bảo quản mẫu: Loại bỏ tạp chất, rác sau đó bảo quản trong túi nilon sạch sau đó bảo quản lạnh ở nhiệt độ 4ºC để tránh sự thay đổi thành phần đất.
Các mẫu được ký hiệu và tiến hành gửi đi phân tích.
- Hình thái của các mẫu cát san hô được phân tích bằng kính hiển vi điện tử quét (SEM): Các mẫu cát, đất được tiến hành sấy khô kiệt, sau đó cân từ 2 mg đến 3 mg đưa vào buồng đo, các mẫu được phủ một lớp dẫn điện mỏng từ platin lên bề mặt mẫu để tránh tích điện và cải thiện chất lượng hình ảnh.
- Phân tích thành phần nguyên tố dinh dưỡng trong đất được thực hiện bằng phương pháp tia X phân tán năng lượng (EDX) trên thiết bị MS-7001F (Jeol, Tokyo, Nhật Bản).
- Diện tích bề mặt, kích thước lỗ xốp của các mẫu được xác định bằng phương pháp hấp phụ khí nitơ lên bề mặt vật liệu ở nhiệt độ thấp, cụ thể là phương pháp BET (Brunauer-Emmett-Teller) trên hệ thống Tristar 3000 Micromeritics.
- Phân tích nhiệt trọng lượng được thực hiện trên máy TGA209F1 (NETZSCH, Đức).
2.2.3 Phân tích độ trữ ẩm đồng ruộng
Độ trữ ẩm (WHC) được thực hiện bằng phương pháp ngâm cát hình trụ [10]. WHC được xác định theo công thức:

2.2.4 Phân tích một số chỉ tiêu hoá lý

2.2.5 Đánh giá chất lượng đất cải tạo trên mô hình trồng rau xanh
Thử nghiệm trồng rau được thực hiện tại Nhà màng (25 m2), Trạm nghiên cứu thử nghiệm biển (Đầm Báy, Hòn Tre) Chi nhánh Ven biển/Trung tâm Nhiệt đới Việt - Nga, Nha Trang, Khánh Hòa. Mặt bằng được chia làm 4 luống bằng nhau để trồng thử nghiệm, trong đó 3 luống chứa cát sau cải tạo với kích thước như sau: rộng 1 m dài 4,5 m. Tạo thêm ½ luống chứa đất cát san hô đối chứng và ½ luống chứa đất thường canh tác tại Trạm Nghiên cứu thử nghiệm biển Đầm Báy.
Rau cải và rau mồng tơi được sử dụng làm đối tượng thực nghiệm với cách chia luống như sau:
Luống 1 và 2: trồng rau cải.
Luống 3: 2/3 luống trồng cải, 1/3 luống trồng mồng tơi.
Luống cát san hô: 2/3 luống trồng cải, 1/3 luống trồng mồng tơi.
Luống đất thường: 2/3 luống trồng cải 1/3 luống trồng mồng tơi.
Chăm sóc rau:
- Tưới nước: Sau khi trồng cây con theo hàng vào luống cần phải tưới ngay để giữ ẩm độ phù hợp giúp cây con phát triển tốt. Định kỳ tưới nước 2 lần/ngày (buổi sáng và buổi chiều). Những ngày trời có mưa, tùy theo ẩm độ trên luống đất trồng rau sẽ có chế độ tưới nước phù hợp. Nếu ẩm độ cao trên 60%, không tưới nước để tránh làm ảnh hưởng đến bộ rễ của rau.
- Theo dõi sâu bệnh: thường xuyên theo dõi, làm cỏ, loại bỏ rau đã nhiễm sâu bệnh để tránh sự phát tán sang các cây khác, hạn chế việc sử dụng thuốc bảo vệ thực vật.
Thu hoạch rau:
Theo dõi quá trình sinh trưởng, phát triển của cây, rau được thu hoạch khi cây phát triển tốt. Đối với giống rau cải và mồng tơi, thời điểm thu hoạch thường sau 3-4 tuần trồng.
Kết thúc vụ rau tiến hành đánh giá năng suất như sau:
+ Khối lượng trung bình/cây (g/cây): Tính 10 cây cho mỗi ô thí nghiệm, nhổ cả rễ giũ bỏ đất, giữ nguyên cả gốc và lá già đem cân.
+ Năng suất thực thu (tấn/ha) = (Năng suất ô thí nghiệm/ diện tích ô thí nghiệm) x 10.000. (Năng suất ô thí nghiệm kg/ô = (trọng lượng của cây/ô)/ diện tích ô).
+ Năng suất lý thuyết (tấn/ha) = Trọng lượng TB/ cây x mật độ cây/ha
3. KẾT QUẢ VÀ THẢO LUẬN
3.1. Sự thay đổi cấu trúc bề mặt cát san hô trước và sau cải tạo
Để theo dõi và đánh giá sự thay đổi cấu trúc bề mặt cát san hô trước và sau cải tạo nhóm nghiên cứu tiến hành quan sát qua kính hiển vi điện tử quét SEM với độ phóng đại 500 lần và cho kết quả tại hình 1.

Hình 1. Ảnh SEM của. a-Cát san hô; b-Cát cải tạo trước canh tác vụ 1; c-Cát cải tạo sau canh tác vụ 1; d-Cát cải tạo trước canh tác vụ 2; e-Cát cải tạo sau canh tác vụ 2
Kết quả phân tích ảnh SEM cho thấy cát san hô không qua cải tạo lớp bề ngoài tương đối trơ, các hạt cát rời rạc gây khó khăn cho quá trình giữ nước và chất dinh dưỡng. Đối với các mẫu cát sau cải tạo có thể quan sát thấy rõ bề mặt ngoài của hạt cát có sự bao quanh của một hệ thống mạng lỗ xốp, đây có thể là các lỗ xốp hình thành dưới tác dụng kết hợp của các chất kết dính, polysaccharide ngoại bào từ vi sinh vật và các thành phần cải tạo khác, hệ thống màng lỗ này giúp tăng cường khả năng giữ nước, trao đổi và giữ dinh dưỡng.
3.2. Sự thay đổi diện tích bề mặt cát san hô trước và sau cải tạo
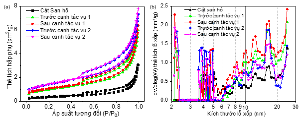
Nhằm nghiên cứu, đánh giá rõ hơn sự thay đổi diện tích bề mặt riêng, thể tích lỗ xốp, phân bố kích thước mao quản của các mẫu cát san hô trước và sau cải tạo nhóm nghiên cứu tiến hành phân tích diện tích bề mặt (BET).
Kết quả phân tích diện tích bề mặt BET (Bảng 1, Hình 2) cho thấy mẫu cát san hô, cát đã cải tạo trước canh tác, cát sau canh tác vụ 1, 2 có diện tích bề mặt trung bình tăng lên. Đặc biệt ở cát cải tạo sau canh tác vụ 2 có diện bề mặt trung bình là 5,1444 m²/g, so sánh với mẫu cát ban đầu có diện tích bề mặt trung bình là 1,4245 m²/g, so sánh này chứng minh rằng việc cải tạo có tác dụng đáng kể, làm tăng diện tích bề mặt hạt cát lên 3,6 lần.
Bảng 1. Diện tích và phân bố kích thước lỗ xốp bề mặt của cát san hô trước và sau cải tạo


Hình 2. (a) Đường đẳng nhiệt hấp phụ N2; (b) Phân bố lỗ xốp
Kết quả trình bày tại Hình 2 cho thấy lượng khí N₂ bị hấp phụ ở mẫu cát sau cải tạo đạt 6,0 cm³/g, cao hơn đáng kể so với mẫu cát san hô chưa cải tạo (3,5 cm³/g), cho thấy độ xốp của cát đã được cải thiện rõ rệt. Sau khi trải qua canh tác vụ 1 và vụ 2, lượng N₂ hấp phụ tiếp tục tăng lên lần lượt đạt 6,4 cm³/g và 7,8 cm³/g. Điều này chứng tỏ độ tơi xốp của cát vẫn tiếp tục được cải thiện qua quá trình canh tác. Sự gia tăng này được cho là nhờ vào sự hiện diện của các thành phần giá thể hữu cơ và các chất kết dính được bổ sung trong quá trình cải tạo, giúp tăng khả năng liên kết giữa các hạt cát, từ đó tạo nên cấu trúc tơi xốp và ổn định hơn.
Bên cạnh đó, kết quả cũng ghi nhận sự khác biệt đáng kể về kích thước lỗ xốp trên bề mặt hạt cát trước và sau cải tạo. Cụ thể, sau cải tạo, kích thước lỗ xốp trung bình tăng lên đến 12 nm, trong khi cát san hô ban đầu chỉ có kích thước lỗ xốp khoảng 2 nm. Điều này góp phần lý giải hiệu quả giữ nước của cát sau cải tạo, tạo điều kiện thuận lợi hơn cho sự phát triển của cây trồng.
3.3 Đánh giá khả năng giữ nước của cát san hô trước và sau cải tạo
Để tiếp tục đánh giá khả năng giữ nước của cát san hô trước và sau cải tạo, nghiên cứu tiến hành phân tích nhiệt trọng lượng TGA, kết quả được thể hiện ở Hình 3.
Kết quả phân tích nhiệt trọng lượng (TGA) của mẫu cát san hô (Hình 3 a) cho thấy ba đỉnh thu nhiệt ở nhiệt độ 62,2°C, 302,9°C và 435,2°C. Đỉnh đầu tiên được quy cho sự mất nước vật lý của cát với tổng khối lượng mất đi là 0,64 wt%. Đỉnh thứ hai ở 302,9°C tương ứng với quá trình khử hợp chất hữu cơ, hoặc muối nitrat của mẫu, dẫn đến mất khối lượng là 1,12 wt%. Đỉnh thứ ba ở 435,2°C tương ứng với quá trình khử hợp chất hữu cơ, cháy hoàn toàn các hợp chất hữu cơ trong cát.
Kết quả cho thấy, các mẫu cát sau cải tạo có sự gia tăng về tỷ lệ mất nước so với cát san hô ban đầu, thể hiện qua sự giảm khối lượng mẫu. Cụ thể, mức giảm khối lượng tương ứng với sự mất nước ở các mẫu cát cải tạo trước và sau canh tác vụ 1 lần lượt là 0,91% và 1,57%; ở các mẫu cải tạo trước và sau canh tác vụ 2 là 0,81% và 0,73%. Điều này phản ánh khả năng giữ ẩm và giữ nước của cát sau cải tạo đã được cải thiện đáng kể so với cát san hô nguyên trạng. Ngoài ra, các đỉnh tín hiệu tương ứng với quá trình khử nitrat và cacbon trong các mẫu cát cải tạo cũng cho thấy xu hướng gia tăng, cho thấy hiệu quả của quá trình cải tạo. Hàm lượng muối dinh dưỡng và hợp chất hữu cơ trong cát sau cải tạo được bổ sung đáng kể, góp phần cải thiện điều kiện sinh trưởng và phát triển cho cây trồng.

Hình 3. Giản đồ phân tích nhiệt trọng lượng (TGA) các mẫu đất cát
a- Cát san hô; b- cát cải tạo trước canh tác vụ 1; c- cát cải tạo sau canh tác vụ 1; d- cát cải tạo trước canh tác vụ 2; e- cát cải tạo sau canh tác vụ 2
3.4. Đánh giá khả năng giữ các yếu tố vi lượng của cát san hô trước và sau cải tạo
Nhằm đánh giá hiệu quả cải thiện tính chất, thành phần dinh dưỡng vi lượng của cát san hô sau cải tạo, nhóm nghiên cứu tiến hành sử dụng phương pháp đo phổ tia X phân tán năng lượng (EDX). Các nguyên tố vi lượng đóng vai trò thiết yếu trong các quá trình trao đổi chất, sinh trưởng và phát triển của cây trồng. Việc bổ sung hoặc cải thiện hàm lượng các nguyên tố này góp phần nâng cao khả năng hấp thụ dinh dưỡng và năng suất cây trồng. Kết quả xác định thành phần các nguyên tố được cho ở bảng 2 và Hình 4.
Bảng 2. Thành phần các yếu tố vi lượng của cát san hô trước và sau cải tạo


Hình 4. Phân tích phổ EDX các mẫu cát
a- cát san hô; b- cát cải tạo trước canh tác vụ 1; c- cát cải tạo sau canh tác vụ 1; d- cát cải tạo trước canh tác vụ 2; e- cát cải tạo sau canh tác vụ 2
Kết hợp với kết quả của phân tích tia X phân tán năng lượng (EDX) cho thấy trong cát san hô chưa cải tạo rất nghèo dinh dưỡng với thành phần chủ yếu là Ca, C và O của san hô. Cát sau cải tạo với vụ 1 và vụ 2 thấy rõ sự bổ sung đáng kể của các thành phần như Al, Fe, K, Mg, …, điều này cho thấy hiệu quả rõ rệt của quá trình cải tạo có sự bổ sung kết hợp của các thành phần cải tạo cát, chất độn hữu cơ và màng nhầy EPS. Đặc biệt sau quá trình cải tạo quan sát sự giảm đi đáng kể của hàm lượng các kim loại kiềm thổ và kiềm như Ca, Na điều này có tác dụng đáng kể đến quá trình giảm pH của cát san hô, tạo thuận lợi cho sự phát triển của cây trồng.
3.5. Đánh giá nâng cao độ xốp và độ trữ ẩm đồng ruộng của cát san hô sau cải tạo
Độ xốp và độ trữ ẩm đồng ruộng là 2 yếu tố cơ lý quan trọng bậc nhất quyết định đến tính chất đất canh tác. Kết quả phân tích một số chỉ tiêu hóa lý và độ trữ ẩm đồng ruộng của cát san hô trước và sau cải tạo được thể hiện tại bảng 3.
Bảng 3. Một số tính chất cơ lý của cát san hô trước và sau cải tạo

Kết quả phân tích cho thấy độ pH của cát san hô sau cải tạo đã giảm đáng kể so với ban đầu, trong khi độ dẫn điện (EC) tăng gấp 4,9 lần. Sự gia tăng này có thể được lý giải bởi sự bổ sung các thành phần cải tạo, đặc biệt là chất độn hữu cơ, góp phần làm tăng hàm lượng muối khoáng và dinh dưỡng trong đất, đồng thời giảm độ kiềm, tạo điều kiện thuận lợi hơn cho sự sinh trưởng và phát triển của cây trồng. Bên cạnh đó, tỷ trọng của cát sau cải tạo giảm do có sự bổ sung của giá thể hữu cơ, giúp tăng độ tơi xốp và số lượng mao quản trong đất. Điều này đặc biệt quan trọng trong việc cải thiện môi trường rễ, hỗ trợ quá trình hấp thu nước và chất dinh dưỡng.
Đáng chú ý, độ trữ ẩm đồng ruộng tối đa của cát sau cải tạo tăng gấp 3 lần so với cát ban đầu. Sự cải thiện này được cho là nhờ hiệu quả của các chất kết dính, chất độn hữu cơ và sự hình thành cấu trúc kết tụ dưới tác động của vi sinh vật sinh màng nhầy EPS. Nhờ đó, cát sau cải tạo có khả năng giữ nước tốt hơn, đảm bảo điều kiện thuận lợi cho canh tác rau màu và cây trồng, đặc biệt trong môi trường khắc nghiệt như khu vực biển đảo.
3.6. Đánh giá chất lượng đất cải tạo trên mô hình trồng rau xanh
Việc canh tác rau màu trên các vùng đất cát san hô ven biển đang gặp nhiều khó khăn do đặc tính đất nhẹ, dễ rửa trôi, nghèo dinh dưỡng và giữ nước kém. Điều này dẫn đến cây trồng chậm phát triển, năng suất thấp và không ổn định qua các vụ. Do đó, cải tạo đất bằng các giải pháp sinh học kết hợp vật liệu hữu cơ là một hướng đi tiềm năng giúp phục hồi độ phì và nâng cao hiệu quả sản xuất. Trong nghiên cứu này, rau cải - một loại rau ngắn ngày, nhạy cảm với điều kiện sinh trưởng - được trồng trên ba loại đất: cát san hô, cát san hô sau cải tạo và đất Đầm Báy (đối chứng dương) tại Trạm nghiên cứu thử nghiệm biển Đầm Báy. Rau được thu hoạch sau 30-35 ngày sinh trưởng trong mô hình trồng thử nghiệm. Việc so sánh chỉ tiêu sinh năng suất qua ba vụ liên tiếp là cơ sở để đánh giá hiệu quả thực tế của quá trình cải tạo đất. Kết quả năng suất cây rau cải thu hoạch 3 vụ được thể hiện tại hình 5.

Hình 5. Năng suất cây rau cải sau 3 vụ
Theo kết quả cho thấy năng suất của rau cải trồng trên ba nền đất khác nhau thể hiện sự khác biệt rõ rệt, đặc biệt là giữa đất cát san hô nguyên trạng và đất cát san hô sau cải tạo. Rau cải trồng trên đất cát san hô cải tạo đạt trung bình 2,69 kg/m² ở vụ 1, 2,66 kg/m² ở vụ 2 và 2,37 kg/m² ở vụ 3 - cao nhất trong cả ba nền đất. Trong khi đó, đất Đầm Báy cho năng suất gần tương đương nhưng thấp hơn một chút ở cả ba vụ (2,63; 2,57; 2,23 kg/m²). Ngược lại, rau trồng trên đất cát san hô chưa cải tạo có năng suất rất thấp (1,1; 0,98; 0,35 kg/m²), đặc biệt giảm mạnh ở vụ 3, cho thấy sự suy kiệt nhanh chóng của nền đất nghèo dinh dưỡng nếu không được cải tạo.
Rau mồng tơi là loại rau leo phổ biến trong nông hộ ven biển và đảo, có khả năng sinh trưởng nhanh, nhưng yêu cầu đất phải giữ ẩm tốt và giàu dinh dưỡng để đạt năng suất cao. Vì vậy nhóm nghiên cứu tiếp tục tiến hành đánh giá hiệu quả của công thức cải tạo đất bằng tổ hợp chế phẩm vi sinh vật sinh màng nhầy (EPS), vi sinh vật hữu ích, giá thể hữu cơ và bentonite, thông qua việc theo dõi năng suất rau mồng tơi trên ba nền đất: cát san hô nguyên trạng, cát san hô cải tạo và đất Đầm Báy. Kết quả khảo sát được thể hiện trên Hình 6.

Hình 6. Năng suất cây rau mồng tơi sau 3 vụ
Theo kết quả trên, sự khác biệt rõ rệt được ghi nhận ở năng suất giữa ba nền đất. Trong đó, năng suất trên đất cát san hô cải tạo luôn cao hơn đáng kể so với nền đất cát san hô nguyên trạng và xấp xỉ hoặc vượt nhẹ đất Đầm Báy.
Đất cải tạo cho kết quả cao nhất cả ba vụ: 1,75; 1,56 và 1,38 kg/m², xấp xỉ với đất Đầm Báy (1,77; 1,58; 1,34 kg/m²), nhưng cao gấp 4-5 lần so với đất cát san hô ban đầu (0,35; 0,295; 0,18 kg/m²). Đây là chỉ số quan trọng nhất phản ánh tổng hợp hiệu quả của tất cả các yếu tố đất - nước - dinh dưỡng - sinh trưởng. Sự suy giảm nhẹ năng suất ở vụ 3 có thể do một phần vật liệu hữu cơ và vi sinh vật có lợi trong đất cải tạo bắt đầu suy giảm theo thời gian, dẫn đến sự giảm hiệu lực của hệ cải tạo.
Sự cải thiện đáng kể năng suất cây rau có thể được giải thích dựa trên cơ chế hoạt động của các thành phần trong công thức cải tạo. EPS sinh ra bởi vi sinh vật tạo màng nhầy có khả năng giữ nước gấp nhiều lần trọng lượng bản thân, giúp đất duy trì độ ẩm ổn định quanh vùng rễ, tạo điều kiện thuận lợi cho cây rau phát triển mạnh. Hơn nữa, cấu trúc màng nhầy giúp kết dính các hạt cát rời rạc thành cấu trúc đất bền hơn, tăng khả năng giữ phân và hạn chế xói mòn, rửa trôi chất dinh dưỡng. Cùng với đó, hệ vi sinh vật hữu ích (cố định đạm, phân giải phosphate, cellulose…) hỗ trợ tăng lượng dinh dưỡng hữu hiệu cho cây, đặc biệt là trong giai đoạn sinh trưởng mạnh đầu vụ.
Giá thể hữu cơ và bentonite cũng đóng vai trò quan trọng trong giữ nước giữ dinh dưỡng và cải tạo cấu trúc vật lý đất. Chúng góp phần làm tăng độ xốp, độ mùn, tạo điều kiện sống tốt hơn cho hệ vi sinh vật cộng sinh quanh vùng rễ. Nhờ sự tương tác tích cực giữa các yếu tố vật lý - sinh học - hóa học này, lá cây phát triển dày, rộng, dài, giúp tăng khả năng quang hợp và sức sống của cây.
Kết quả theo dõi rau cải và mồng tơi qua ba vụ cho thấy công thức cải tạo đất cát san hô bằng tổ hợp chế phẩm vi sinh vật sinh màng nhầy, vi sinh vật hữu ích, giá thể hữu cơ và bentonite đã cải thiện đáng kể năng suất của cây. Rau trồng trên đất cải tạo có năng suất cao, vượt xa nền cát nguyên trạng và tương đương, thậm chí ổn định hơn đất Đầm Báy. Tuy nhiên, hiệu quả cải tạo có dấu hiệu giảm nhẹ từ vụ thứ ba trở đi, cho thấy cần có chiến lược bổ sung định kỳ vật liệu cải tạo sau 2-3 vụ canh tác. Đây là hướng tiếp cận khả thi, phù hợp với điều kiện sản xuất tại các vùng đảo và khu vực ven biển đất nghèo, thiếu nước ngọt, góp phần nâng cao hiệu quả sử dụng tài nguyên và phát triển nông nghiệp bền vững trong điều kiện biến đổi khí hậu.
Qua quá trình theo dõi các vụ canh tác liên tiếp, nhóm nghiên cứu nhận thấy rằng mặc dù chất lượng đất sau cải tạo có xu hướng giảm nhẹ về một số chỉ tiêu lý-hóa học, song sự giảm sút này là không đáng kể và vẫn không ảnh hưởng tới năng suất của cây trồng. Cụ thể, nền đất cát san hô cải tạo vẫn duy trì được năng suất cao và ổn định qua các vụ thu hoạch. Điều này cho thấy, mặc dù có sự biến động nhẹ về chất lượng đất theo thời gian, nhưng nền đất này vẫn đáp ứng được nhu cầu dinh dưỡng cho cây trồng, và hoàn toàn khả thi để ứng dụng trong việc cung cấp nguồn rau xanh ổn định cho khu vực biển đảo.
Từ những kết quả thu được, có thể kết luận rằng việc sử dụng nền đất cát san hô cải tạo là một giải pháp tiềm năng, có thể mở rộng áp dụng tại các khu vực nông nghiệp biển đảo, góp phần nâng cao hiệu quả sản xuất nông nghiệp và đảm bảo an ninh thực phẩm cho cư dân ở những khu vực này.

Hình 7. Một số hình ảnh thu hoạch rau
4. KẾT LUẬN
Sử dụng chế phẩm vi sinh vật sinh màng nhầy polysaccharide và vi sinh vật hữu ích chịu mặn để cải tạo cát san hô thành đất trồng, cát sau cải tạo được sử dụng để canh tác rau qua hai vụ. Kết quả cho thấy, cát sau cải tạo có sự liên kết mạnh mẽ hơn giữa các hạt cát, giúp ổn định cấu trúc đất và cải thiện đáng kể các tính chất vật lý cũng như dinh dưỡng của đất. Cụ thể, các yếu tố dinh dưỡng như Al, Fe, Mg... đã xuất hiện trong đất, cho thấy sự bổ sung hiệu quả các khoáng chất cần thiết cho cây trồng. Đặc biệt, diện tích bề mặt riêng của cát san hô đã tăng lên gấp 3,6 lần sau quá trình cải tạo. Hơn nữa, sự hình thành các lỗ xốp có kích thước từ 2 đến 12 nm đã giúp cải thiện khả năng giữ nước và dinh dưỡng của đất. Thành phần nước trong cát sau cải tạo đạt mức cao nhất là 1,57%, sau khi canh tác vụ 1, tăng gấp 2,6 lần so với cát trước khi cải tạo. Lượng chất hữu cơ và muối nitrat trong đất cũng tăng lên đáng kể, cho thấy sự cải thiện rõ rệt về chất lượng đất.
So với cát san hô trước khi cải tạo, cát sau cải tạo cho thấy sự khác biệt rõ rệt về năng suất rau. Cụ thể, năng suất rau cải đạt từ 2,37 đến 2,69 kg/m², tăng gấp 3 - 6 lần so với cát trước cải tạo (chỉ đạt từ 0,35 đến 1,1 kg/m²). Năng suất mồng tơi tăng gấp 4-5 lần so với cát trước cải tạo, và đạt mức tương đương với năng suất canh tác trên đất tại Đầm Báy.
Kết quả nghiên cứu chỉ ra rằng, trong điều kiện các khu vực biển đảo xa đất liền, việc cải tạo cát san hô thành đất canh tác có thể mang lại hiệu quả kinh tế cao về năng suất, so với việc canh tác trực tiếp trên cát san hô chưa qua cải tạo.
Lời cảm ơn: Nghiên cứu này được hỗ trợ và thực hiện bởi Trung tâm Nhiệt đới Việt - Nga.
Tuyên bố về đóng góp của tác giả: Nguyễn Công Tỉnh: Chuẩn bị bản thảo gốc, khái niệm hóa, xử lý số liệu. Vũ Minh Tiến: Khái niệm hóa, xử lý số liệu. Vũ Duy Nhàn: Phương pháp luận, khái niệm hóa, xử lý số liệu. Võ Thị Hoài Thu: Phương pháp luận, khái niệm hóa, xử lý số liệu. Lê Thị Huệ: Chuẩn bị bản thảo gốc, khái niệm hóa, xử lý số liệu. Đinh Thị Thu Trang: Chuẩn bị bản thảo gốc, khái niệm hóa, xử lý số liệu. Đỗ Thị Thúy: Chuẩn bị bản thảo gốc, xử lý số liệu. Nguyễn Văn Tú: Chuẩn bị bản thảo gốc, khái niệm hóa, xử lý số liệu. Đỗ Vĩnh Trường: Chuẩn bị bản thảo gốc, khái niệm hóa, xử lý số liệu.
Tuyên bố về xung đột lợi ích: Các tác giả Nguyễn Công Tỉnh, Vũ Duy Nhàn, Võ Thị Hoài Thu, Lê Thị Huệ, Đinh Thị Thu Trang, Đỗ Thị Thúy hiện đang công tác tại Phân viện Công nghệ sinh học/ Trung tâm Nhiệt đới Việt - Nga, đơn vị có thể có lợi ích liên quan đến ứng dụng kết quả nghiên cứu. Tác giả Vũ Minh Tiến, Nguyễn Văn Tú, Đỗ Vĩnh Trường đã hỗ trợ cho một phần của nghiên cứu này. Tuy nhiên, các đơn vị của các tác giả không can thiệp vào quá trình nghiên cứu, thu thập, xử lý, phân tích dữ liệu, cũng như việc viết bản thảo và quyết định công bố kết quả.
Tài liệu tham khảo
2. H. Vereecken, J. A. Huisman, H. H. Franssen and Nicolas Brüggemann, Soil hydrology: Recent methodological advances, challenges, and perspectives. Water resources research, Vol. 51, Issue 4, pp. 2616-2633, 2015. DOI:10.1002/2014WR016852.
3. A. Mubarak, Omaima E. Ragab, Amal A. Ali and Nemat E. Hamed, Short-term studies on use of organic amendments for amelioration of a sandy soil. African Journal of Agricultural Research, , Vol. 4, No. 7, pp. 621-627, 2009.
4. S. Halavatau, et al., Improving soil health, agricultural productivity, and food security on atolls, 2022.
5. O.Y. Costa, J.M. Raaijmakers, and E.E. Kuramae, Microbial extracellular polymeric substances: ecological function and impact on soil aggregation. Frontiers in microbiology, Vol. 9, pp. 1636, 2018.
6. F. Caravaca, M.M. Alguacil, P. Torres and A. Roldán, Plant type mediates rhizospheric microbial activities and soil aggregation in a semiarid Mediterranean salt marsh. Geoderma, Vol. 124, Issues 3–4, pp. 375-382, 2005. DOI:org/10.1016/j.geoderma.2004.05.010
7. J. Kohler, A. Roldán, M. Campoy and F. Caravaca, Unraveling the role of hyphal networks from arbuscular mycorrhizal fungi in aggregate stabilization of semiarid soils with different textures and carbonate contents. Plant and Soil, Vol. 410, pp. 273-281, 2017.
8. W.B. Stevens, Upendra M. Sainju, A.J. Caesar and Mark West, Soil-aggregating bacterial community as affected by irrigation, tillage, and cropping system in the northern great plains. Soil Science, Vol. 179, No. 1, pp. 11-20, 2014. DOI:10.1097/SS.0000000000000036.
9. C. Roca, Vitor D. Alves, F. Freitas and Maria A. M. Reis, Exopolysaccharides enriched in rare sugars: bacterial sources, production, and applications. Frontiers in microbiology, Vol. 6, pp. 288, 2015. DOI:org/10.3389/fmicb.2015.00288.
10. D.A. El-Nagar, D.H. Sary, Synthesis and characterization of nano bentonite and its effect on some properties of sandy soils. Soil and Tillage Research, Vol. 208, pp. 104872, 2021. DOI:org/10.1016/j.still.2020.104872.